irsemdia
2º GITI - Física III
Resúmenes por temas
Tema1_Campo electrostático.pdf
10 páginas
Tema6_Campo magnético en el vacío.pdf
8 páginas
Tema4_Dieléctricos.pdf
2 páginas
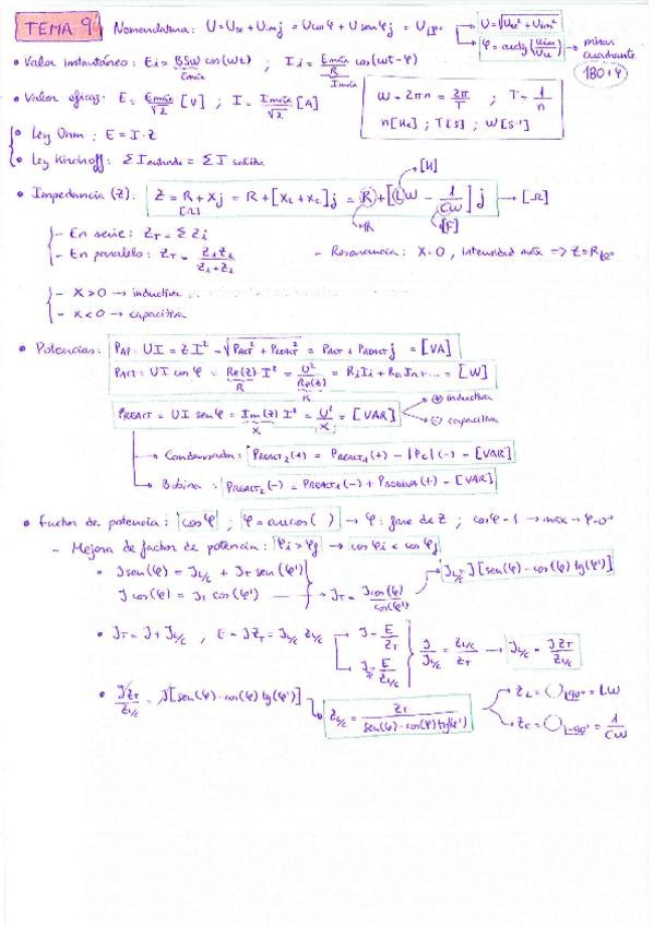
Tema9_Fórmulas importantes.pdf
1 página
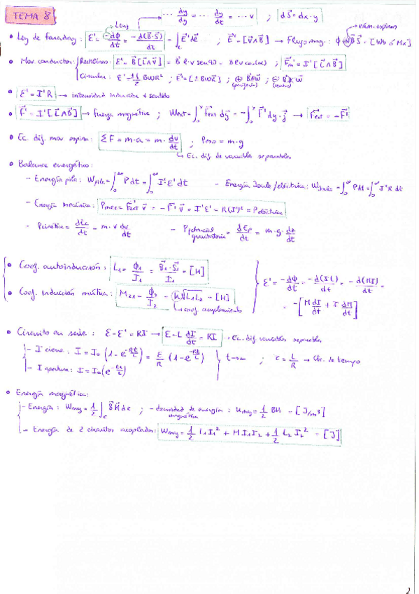
Tema8_Fórmulas importantes.pdf
Tema2_Conductores cargados en equilibrio.pdf
7 páginas
Tema3_Capacidad eléctrica.pdf
5 páginas
Otros - Formulario 1.ᵉʳ parcial
pdf
333
7
Otros - Formulario 2.º parcial
360
3
Apuntes - Formulario-Fisica-3.pdf
6 páginas
279
4
Exámenes - PREGUNTAS-TIPO-TEST-2-PARCIAL-DeExamenes.pdf
22 páginas
159
Apuntes - Academia-Area-2o-Parcial-intensivo.pdf
12 páginas
240
1
Apuntes - FORMULARIO-PRIMER-PARCIAL.pdf
243
2
Exámenes - Cuestiones-fisica-2-parcial.pdf
130
5
Apuntes - TEORIA-1ER-PARCIAL.pdf
15 páginas
123
Apuntes - Tema1_Campo electrostático.pdf
134
Apuntes - Teoria-tipo-test-por-temas-fisica-III.pdf
14 páginas
104
Apuntes - t1fis.pdf
13 páginas
161
Prácticas - Practica III Osciloscopio y RC (Nota 10)
141
Prácticas - Practica II Inducción Magnética (Nota 5)
11 páginas
Apuntes - Formulario-Fisica-III-P1.pdf
Apuntes - Libreta-Intensivo-Fisica-III.pdf
23 páginas
98
Exámenes - Examenes-Primer-Parcial-.pdf
144
Apuntes - Fisica-3-Condensadores.pdf
78
Prácticas - Apuntes-para-test-practicas-Fisica-III.pdf
3 páginas
119
Prácticas - Practica IV AC y FP (Nota 9)
Apuntes - TEST-PARCIAL-1-TEORIA.pdf
4 páginas
97