Portada
Asignatura
Grado en Ingeniería de Tecnologías Industriales (UPV)
Física III
Fecha de subida
04 dic 2023
Categoría
otros
Información
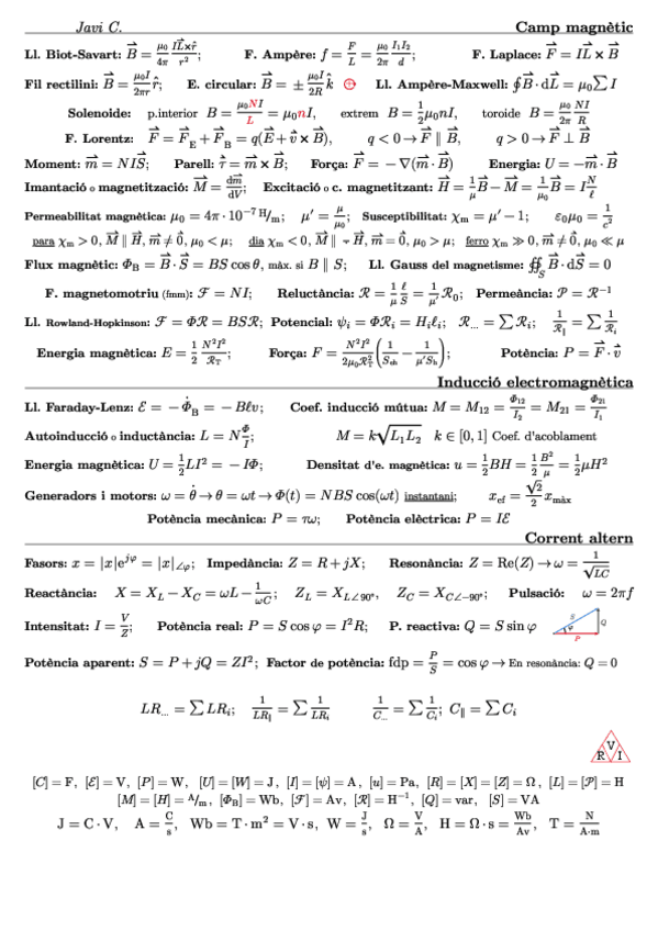
Formulario para examen. 1 cara. En valenciano y castellano.
Etiquetas
Otros - Formulario 1.ᵉʳ parcial
pdf
1 página
328
7
Otros - Formulario 2.º parcial
360
3
Apuntes - Formulario-Fisica-3.pdf
6 páginas
276
5
Apuntes - Academia-Area-2o-Parcial-intensivo.pdf
12 páginas
240
1
Exámenes - PREGUNTAS-TIPO-TEST-2-PARCIAL-DeExamenes.pdf
22 páginas
155
2
Apuntes - FORMULARIO-PRIMER-PARCIAL.pdf
2 páginas
241
Exámenes - Cuestiones-fisica-2-parcial.pdf
8 páginas
127
Apuntes - TEORIA-1ER-PARCIAL.pdf
15 páginas
122
Apuntes - Tema1_Campo electrostático.pdf
10 páginas
134
Apuntes - t1fis.pdf
13 páginas
161
Apuntes - Teoria-tipo-test-por-temas-fisica-III.pdf
14 páginas
96
Prácticas - Practica III Osciloscopio y RC (Nota 10)
141
Prácticas - Practica II Inducción Magnética (Nota 5)
11 páginas
129
Apuntes - Formulario-Fisica-III-P1.pdf
123
Exámenes - Examenes-Primer-Parcial-.pdf
142
Apuntes - Libreta-Intensivo-Fisica-III.pdf
23 páginas
97
Prácticas - Apuntes-para-test-practicas-Fisica-III.pdf
3 páginas
119
Apuntes - Fisica-3-Condensadores.pdf
76
4
Prácticas - Practica IV AC y FP (Nota 9)
104
Prácticas - Practica V Resonancia AC (Nota 10)
105
Información
Formulario para examen. 1 cara. En valenciano y castellano.