profedefyq
Todos los ejercicios de campo eléctrico de la EBAU de La Rioja, desde 2017. Con sus soluciones detalladas.
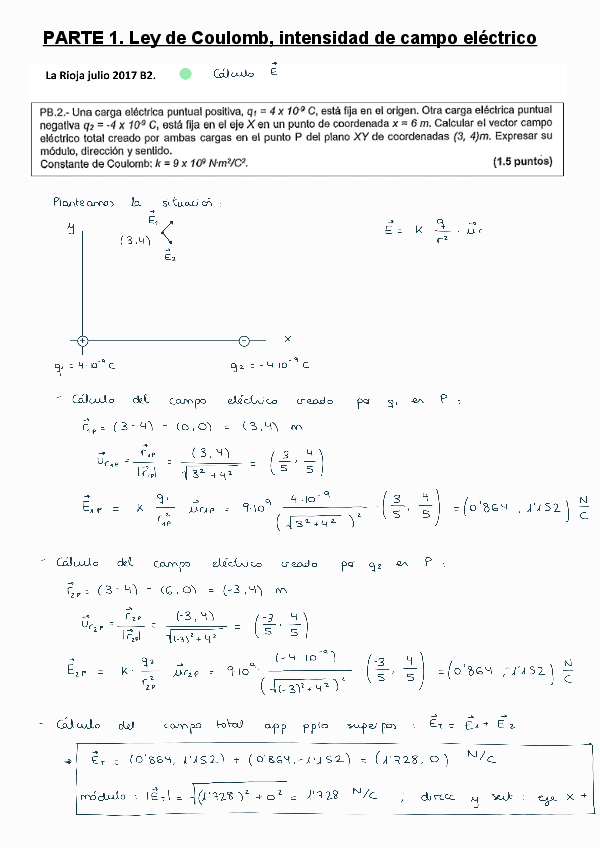
Resoluciones-EBAU-La-Rioja-desde-2017-Campo-electrico.pdf
43 páginas
Apuntes - Leyes-de-Kepler.docx
docx
10
0
Apuntes - Campo-gravitatorio.pdf
pdf
27 páginas
42
Apuntes - ondas.pdf
28 páginas
15
Apuntes - Tema3Campo-Electromagnetico-.pdf
30 páginas
7
Exámenes - Fisica-1.pdf
4 páginas
4
Apuntes - Bloques-Fisica.pages
pages
Exámenes - Resoluciones-EBAU-La-Rioja-desde-2017-Optica-geometrica.pdf
25 páginas
1
Apuntes - Dinamica-1o-Bach.pptx
pptx
Exámenes - Resoluciones-EBAU-La-Rioja-desde-2017-Campo-magnetico.pdf
Exámenes - Resoluciones-EBAU-La-Rioja-desde-2017-Fisica-atomica.pdf
15 páginas
3
Exámenes - Examen-EBAU-La-Rioja-Fisica-Junio-2023-24.pdf
3 páginas
2
Exámenes - Fisica.pdf
Exámenes - Examen-EBAU-La-Rioja-Fisica-Julio-2014-15.pdf
Exámenes - Examen-EBAU-La-Rioja-Fisica-Junio-2020-21.pdf
Exámenes - Examen-EBAU-La-Rioja-Fisica-Junio-2018-19.pdf
Exámenes - Examen-EBAU-La-Rioja-Fisica-Junio-2017-18.pdf
Exámenes - Examen-EBAU-La-Rioja-Fisica-Junio-2016-17.pdf
Exámenes - Examen-EBAU-La-Rioja-Fisica-Julio-2021-22.pdf
Exámenes - Examen-EBAU-La-Rioja-Fisica-Septiembre-2019-20.pdf
Exámenes - Examen-Fisica-de-La-Rioja-Ordinaria-de-2004.pdf