Portada
Asignatura
Grado en Matemáticas (US)
Funciones de Una Variable Compleja
Fecha de subida
02 oct 2020
Categoría
ejercicios
Etiquetas
Apuntes - FVC-Teoria-completa.pdf
pdf
55 páginas
381
0
Apuntes - FVC - Teoría.pdf
97 páginas
189
Exámenes - final-resuelto-febrero-Duran-2122.pdf
4 páginas
267
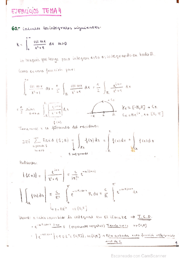
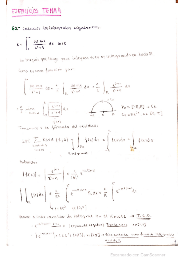
Ejercicios - tema4.pdf
44 páginas
209
1
Ejercicios - hoja3.pdf
5 páginas
137
Ejercicios - RESUELTOSEJERCICIOS-DURAN-FVC.pdf
36 páginas
280
Ejercicios - fvcresueltos.pdf
48 páginas
256
Ejercicios - hoja10.pdf
3 páginas
108
Ejercicios - rel1-fvc.pdf
185
Ejercicios - tema3.pdf
11 páginas
Apuntes - TEORIA-DE-EXAMEN-DURAN.pdf
27 páginas
213
Ejercicios - hoja1.pdf
121
Ejercicios - hoja2.pdf
103
Exámenes - Primer-parcial-FVC-Duran.pdf
1 página
226
Ejercicios - Tema-2-FVC-y-ejercicios.pdf
34 páginas
190
Ejercicios - hoja5.pdf
9 páginas
77
Ejercicios - Ejercicios-FVC-T123.pdf
20 páginas
120
5
Exámenes - ResueltoParcial1-14-15.pdf
Ejercicios - Teoria-y-ejercicios-tema-3-.pdf
25 páginas
143
Exámenes - Primer-parcial-FVC.pdf
6 páginas
176
2