lfm_11
Problemas resueltos FIE continua (todos)
Tema-5-FIE-Resuelto.pdf
18 páginas
Tema-4-FIE-Resuelto.pdf
11 páginas
Tema-3-FIE-Resuelto.pdf
7 páginas
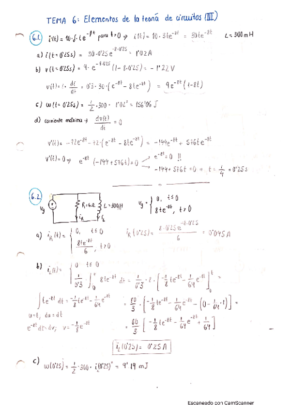
Tema-6-FIE-Resuelto.pdf
8 páginas
Tema-1-FIE-Resuelto.pdf
3 páginas
Tema-2-FIE-Resuelto.pdf
5 páginas
Ejercicios - tema5_app.pdf
pdf
188
1
Ejercicios - Tema-7-FIE-Resuelto.pdf
27 páginas
265
3
Ejercicios - Tema-8-FIE-Resuelto.pdf
31 páginas
225
4
Ejercicios - tema7app.pdf
14 páginas
155
0
Ejercicios - Tema-5-FIE-Resuelto.pdf
212
Ejercicios - Tema-10-FIE-Resuelto.pdf
21 páginas
199
Ejercicios - Tema-7-problemasfie.pdf
42 páginas
293
Ejercicios - Tema-6-FIE-Resuelto.pdf
203
Ejercicios - Tema-8-problemasfie.pdf
39 páginas
237
Ejercicios - tema8app.pdf
15 páginas
95
Ejercicios - Tema-10-problemasfie.pdf
33 páginas
220
2
Ejercicios - Tema-3-FIE-Resuelto.pdf
204
Ejercicios - Tema-4-FIE-Resuelto.pdf
214
Exámenes - Examenes.pdf
87 páginas
187
Ejercicios - Ejercicios-T7-FIE.pdf
16 páginas
166
Ejercicios - Tema-4-problemasfie-.pdf
19 páginas
260
Ejercicios - tema10app.pdf
96
Ejercicios - tema6_app.pdf
126
Ejercicios - Ejercicios-Tema-6-FIE.pdf
145
Apuntes - FIE-2023-Febrero.pdf
140