Portada
Asignatura
Grado en Ingeniería de Sistemas de Telecomunicación (UMA)
Fundamentos de Propagación de Ondas
Fecha de subida
05 may 2017
Categoría
ejercicios
Información
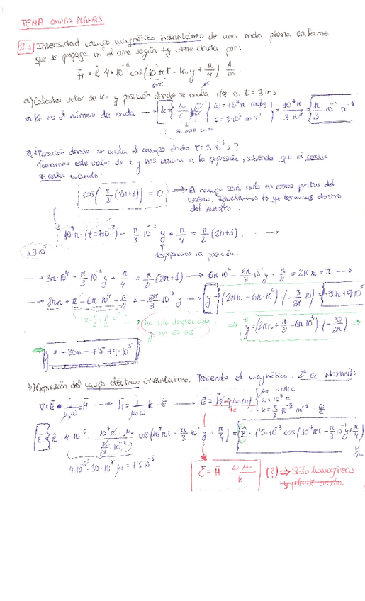
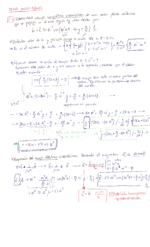
No están "pasados a limpio" con el propósito de subirlo aquí, pero yo creo que no era necesario, se ve todo bien y está suficientemente claro. Habiendo hecho estos ejercicios me fue bien. Alguna anotación puede no ser cierta.
Etiquetas
Exámenes - Examen propagacion de ondas junio 2018.pdf
pdf
1 página
193
0
Ejercicios - ejercicios_resueltos_tema2_fundPropOndas.pdf
24 páginas
124
1
Exámenes - ExamenFPOJunio2022Final.pdf
5 páginas
93
Ejercicios - ejercicios_resueltos_tema3_fundPropOndas.pdf
22 páginas
106
Exámenes - ExamenJunio2016.pdf
4 páginas
120
Apuntes - Formulario-Ondas.pdf
12 páginas
113
Exámenes - ExamenesOndas.pdf
33 páginas
102
2
Ejercicios - ejercicios-2.pdf
20 páginas
Apuntes - ONDAS-Escaneo-Wuolah.pdf
46 páginas
190
Ejercicios - ejerciciosResueltosTema1FPOGIST.pdf
91
Ejercicios - ejerciciosResueltosTema2FPOGIST.pdf
50 páginas
90
Ejercicios - ejercicios-4.pdf
16 páginas
80
Apuntes - Parcial 2019.pdf
68
Exámenes - Examen-ondas-septiembre-2021.pdf
105
Apuntes - tema-2.pdf
2 páginas
98
Exámenes - Examen-septiembre-2022.pdf
6 páginas
63
Apuntes - Parcial 2019 Resuelto.pdf
66
Exámenes - Examen-septiembre-2020.pdf
69
Apuntes - 1er Parcial Fundamentos de propagación de ondas.pdf
62
Ejercicios - Ejercicios-FPO-Tema-2.pdf
13 páginas
94
Información
No están "pasados a limpio" con el propósito de subirlo aquí, pero yo creo que no era necesario, se ve todo bien y está suficientemente claro. Habiendo hecho estos ejercicios me fue bien. Alguna anotación puede no ser cierta.