@Vardhamir

23 Publicaciones

993 Interacciones

1 Seguidores

0 Siguiendo

Lista de publicaciones de Vardhamir

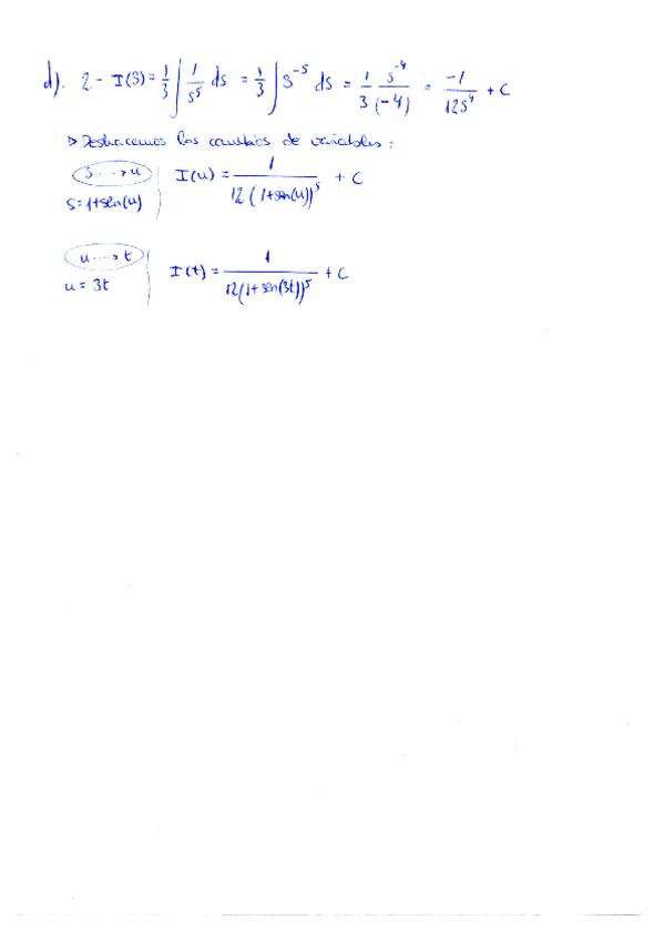
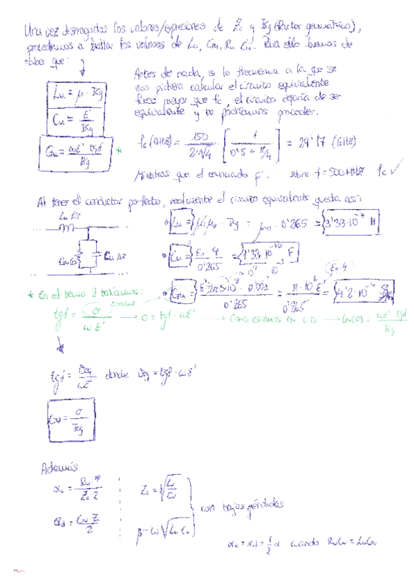
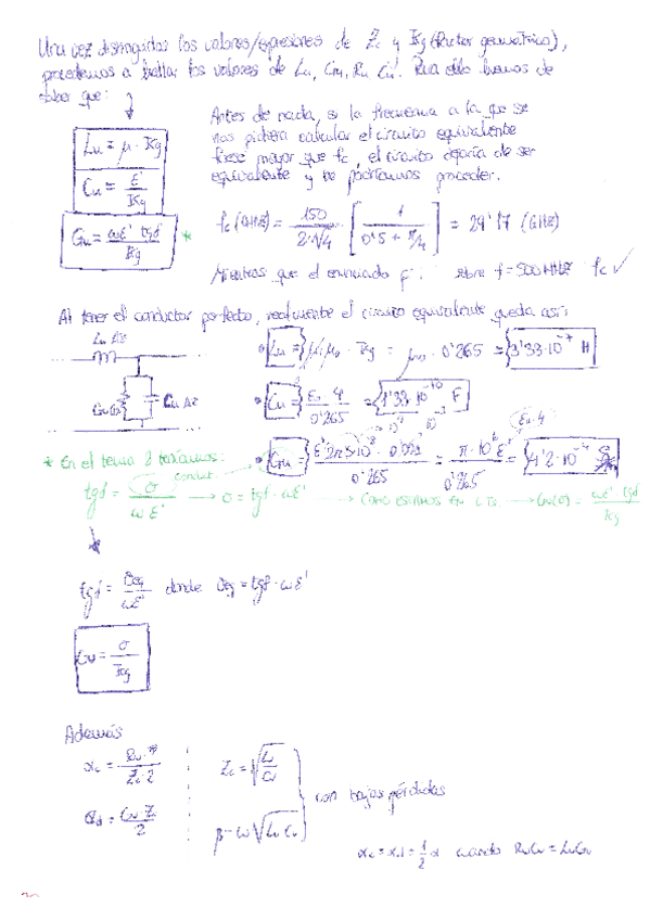
Comprobado con Wolfram. Puede haber disonancias en los formatos de los resultados finales.

6 páginas

Puede que incompleto, pero yo me entiendo con esto.

Imagen

He publicado nuevos ejercicios de 3º Ingeniería electromagnética: 2016_2017_Ejercicios_IE_v1.pdf

31 páginas

Igual que las relaciones anteriores, no aseguro que estén bien y faltan ejercicios pero algunos de la relación los vi "superfluos"

https://drive.google.com/open?id=1cICkqZeau6IKfM3dv0JkscNT17W90KDE

Algunos de los apuntes que usé para la asignatura, no recuerdo de dónde los saqué. Creo que son medianamente esclarecedores.

24 páginas

No puedo asegurar que esté bien nada. Enunciados en la relación de ejercicios 2016/17.

https://drive.google.com/file/d/1_06Cvi7nqnmeo39dIB1Y-KEk-JRqkwGL/view?usp=sharing

Faltan ejercicios, y no se ven bien algunos y no aseguro que estén bien.

https://drive.google.com/open?id=1zxSOowIXn7Dc-A99mMRHBAQ5XWGs9pcw

Apuntes de varios alumnos de la parte de Satélites, del curso 2015-16

10 páginas

He publicado nuevos ejercicios de 2º Fundamentos de Propagación de Ondas: ejercicios_resueltos_tema3_fundPropOndas.pdf

22 páginas

No están "pasados a limpio" con el propósito de subirlo aquí, pero yo creo que no era necesario, se ve todo bien y está suficientemente claro. Habiendo hecho estos ejercicios me fue bien. Alguna anotación puede no ser cierta.

24 páginas

No aseguro que estén correctamente resueltos. Revisar resultados del profesor.

27 páginas

Los apuntes tomados de la pizarra y comentarios de los profesores.

26 páginas

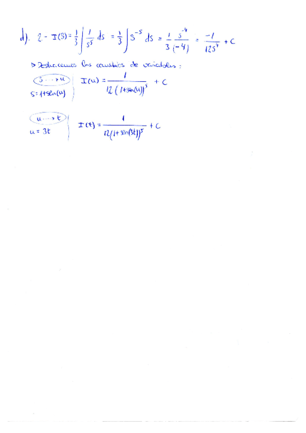
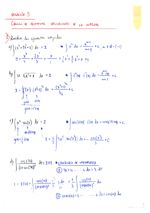
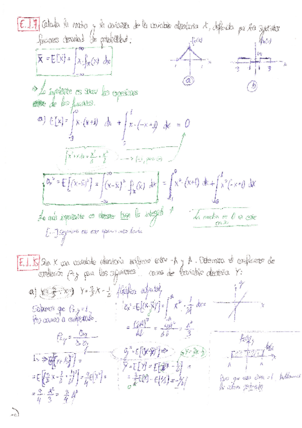
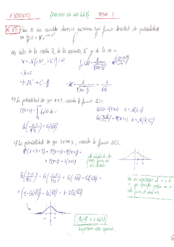
Relación de ejercicios con los resultados correspondientes al final.

8 páginas

examenes

-

Parciales 2011-12

He publicado nuevos examenes de 2º Diseño Digital: Parciales 2011-12

Parcial 2011-12 A.pdf
Parcial 2011-12 A [RESUELTO].pdf
Parcial 2011-12 B.pdf
Parcial 2011-12 C.pdf
Parcial 2011-12 D.pdf

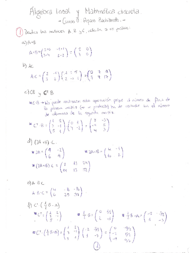
He publicado nuevos practicas de 1º Álgebra Lineal y Matemática Discreta: Fichero wxMaxima Álgebra Lineal y Matemática discreta conjuntos sistemas de ecuaciones etc.rar

Miniatura no disponible
rar

He publicado nuevos ejercicios de 1º Álgebra Lineal y Matemática Discreta: Relación ejercicios REPASO Bachillerato.PDF

25 páginas

He publicado nuevos practicas de 1º Álgebra Lineal y Matemática Discreta: Fichero wxMaxima Álgebra Lineal y Matemática discreta conjuntos sistemas de ecuaciones etc.rar

rar

He publicado nuevos apuntes de 2º Diseño Digital: Códigos binarios para representar números con signo. Operaciones aritméticas.pdf

10 páginas

He publicado nuevos trabajos de 2º Diseño Digital: Códigos binarios para representar números con signo. Operaciones aritméticas.pdf

10 páginas