Industrias Alimentarias III

chevron_left
chevron_right
Todo
Apuntes
Exámenes
chevron_left
chevron_right

Examen final 15/12/25

4 páginas

He publicado nuevos apuntes de 4º Industrias Alimentarias III: Informe-de-practicas-IND-III.pdf

6 páginas

He publicado nuevos apuntes de 4º Industrias Alimentarias III: INDUSTRIAS-III.pdf

81 páginas

He publicado nuevos apuntes de 4º Industrias Alimentarias III: Temas-IND-3.pdf

203 páginas

He publicado nuevos apuntes de 4º Industrias Alimentarias III: LA-UVA.pdf

4 páginas

He publicado nuevos examenes de 4º Industrias Alimentarias III: Examen-Ind-III-Enero-2024.pdf

4 páginas

He publicado nuevos apuntes de 4º Industrias Alimentarias III: Temario-Completo.pdf

31 páginas

He publicado nuevos examenes de 4º Industrias Alimentarias III: examen-ind-3-mayo-2023.pdf

2 páginas

He publicado nuevos apuntes de 4º Industrias Alimentarias III: Apuntes.pdf

8 páginas

He publicado nuevos apuntes de 4º Industrias Alimentarias III: Diagramas-de-flujo-Vinos.pdf

1 página
Anónimo

@Anónimo

apuntes

-

PROBLEMAS

He publicado nuevos apuntes de 4º Industrias Alimentarias III: PROBLEMAS

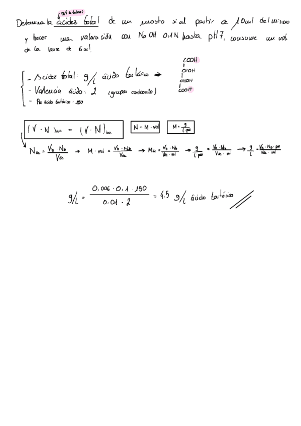
Ejercicios-Acidez-Total.pdf
Problema-Sulfuroso.pdf
Anónimo

@Anónimo

apuntes

-

TEMAS

He publicado nuevos apuntes de 4º Industrias Alimentarias III: TEMAS

TEMA-1-i.pdf
¡Estás al día!

¡Estás al día!

Has visto todos los archivos