b7n4n
Problemas
al5.pdf
1 página
al4.pdf
al7.pdf
al3.pdf
al2.pdf
2 páginas
al10.pdf
al1.pdf
al8.pdf
al6.pdf
al9.pdf
Exámenes - Junio-2023.pdf
pdf
49
0
Exámenes - Final-Enero-2023.pdf
57
Exámenes - Parcial2022B.pdf
42
Exámenes - Parcial2022A.pdf
43
Apuntes - Matematicas-teoria.pdf
18 páginas
36
1
Ejercicios - Ejercicios-numeros-complejos-resueltos.pdf
9 páginas
18
2
Exámenes - Global-2017-RESUELTO.pdf
10 páginas
28
Ejercicios - Ejercicios-espacios-vectoriales-resueltos.pdf
8 páginas
Ejercicios - Ejercicios-aplicaciones-lineal-resueltos.pdf
12 páginas
17
Ejercicios - al5.pdf
13
Apuntes - ESPACIO.RNNumerosComplejosapuntes.pdf
10
Exámenes - Parcial-2015-RESUELTO.pdf
5 páginas
Apuntes - Apuntes-matematicas-clase-23-24.pdf
20 páginas
16
Ejercicios - Ejercicios-espacios-R2-y-R3-resueltos.pdf
6 páginas
Exámenes - Parcial-2017-RESUELTO.pdf
Exámenes - Examenes-12-15-17-19-sin-resolver.pdf
11 páginas
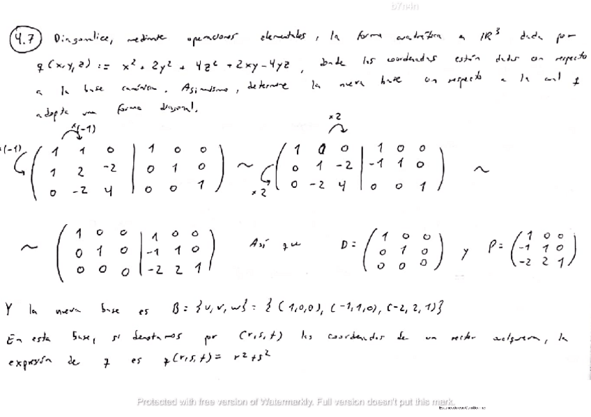
Ejercicios - al7.pdf
9
Ejercicios - al9.pdf
12
Ejercicios - al10.pdf
8
Ejercicios - al4.pdf