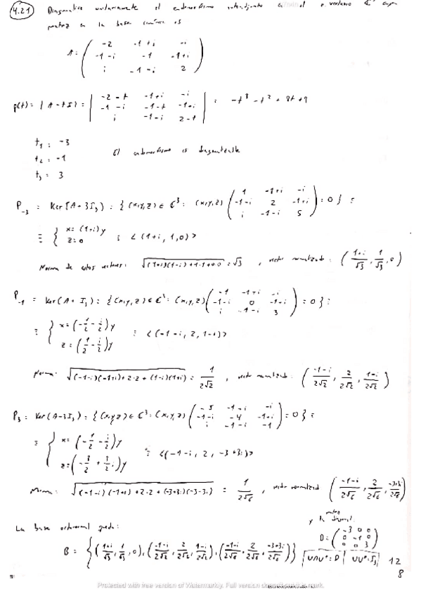
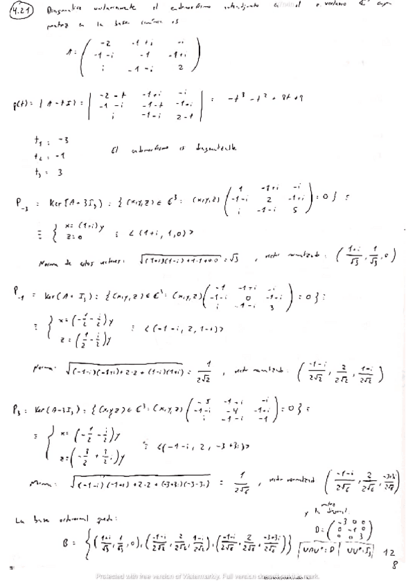
al9.pdf
Portada
Asignatura
account_balance
Grado en Ingeniería Naval y Oceánica (UDC)
Fecha de subida
25 sep 2022
Categoría
ejercicios
Etiquetas
content_copy
Portada
Asignatura
Grado en Ingeniería Naval y Oceánica (UDC)
Fecha de subida
25 sep 2022
Categoría
ejercicios
Etiquetas