Examen-6-Segunda-Parte-Resuelto-2018.pdf

alvaro0gomez

2ª Parte, Exámenes y Quizes

12 archivos·

Quiz-T6-y-T7-Resuelto-2-2023.pdf

4 páginas

Quiz-T6-y-T7-Resuelto-1-2023.pdf

4 páginas

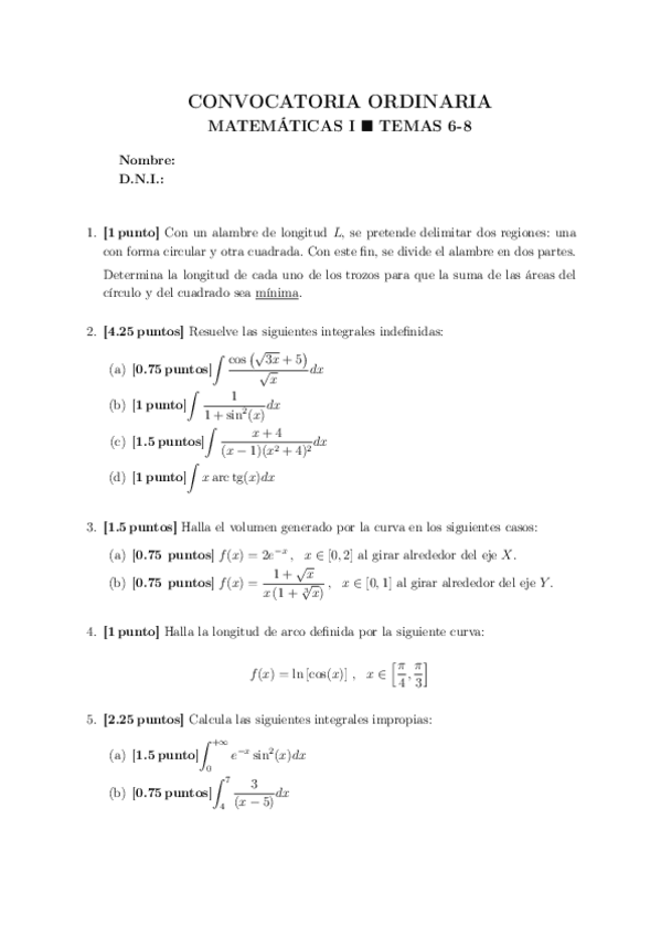
Examen-6-Segunda-Parte-Resuelto-2018.pdf

5 páginas

Examen-5-Segunda-Parte-Resuelto-2018.pdf

5 páginas

Examen-4-Segunda-Parte-Resuelto-2019.pdf

7 páginas

Examen-3-Segunda-Parte-Resuelto-2020.pdf

5 páginas

Examen-2-Segunda-Parte-Resuelto-2020.pdf

5 páginas

Examen-1-Segunda-Parte-Resuleto-2023.pdf

11 páginas

Ejercicios-resueltos-para-empezar-a-Inte.pdf

13 páginas

1-Formulas-integrales-y-cambios-de-varia.pdf

2 páginas

Tabla-de-Funciones-Trigonometricas.pdf

1 página

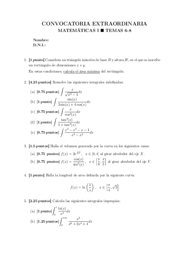
Examen-0-Segunda-Parte-Resuelta-2023-Extraordinaria.pdf

15 páginas

content_copy

Archivos recomendados