Portada
Asignatura
Grado en Ingeniería de Organización Industrial (ULOYOLA)
Matemáticas I
Fecha de subida
29 abr 2023
Categoría
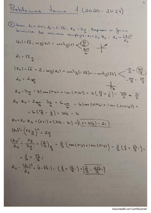
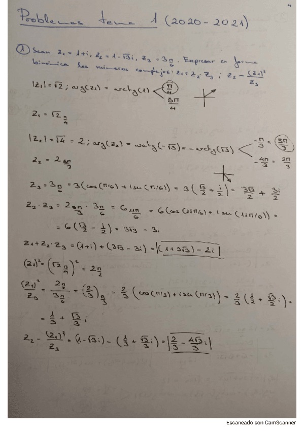
ejercicios
Etiquetas
Exámenes - parcialMatesIresueltov2.pdf
pdf
6 páginas
159
2
Exámenes - Ordinaria2aparteresuelto.pdf
5 páginas
138
0
Exámenes - segundo-parcial-resuelto-2019-2020.pdf
78
Exámenes - codigo-examen-matlab-.pdf
17 páginas
79
Apuntes - Quiz-T2-T3.pdf
3 páginas
112
Ejercicios - Boletin-tema-4.pdf
16 páginas
62
1
Ejercicios - Boletin-tema-3.pdf
8 páginas
51
Exámenes - exGITIADEprMARIAMERCEDESRODRIGUEZ
exgitiadeprmariamercedesrodriguez
11
Exámenes - ExtraordinariaTemas6-8.pdf
1 página
54
Exámenes - ordinaria-parte-2-resuelto-2019-2020.pdf
7 páginas
60
Exámenes - Ordinaria1aparteresuellto.pdf
101
Apuntes - ParcialTemas1-52023v2enunciadoyresolucion.pdf
52
Exámenes - MAT1-Extraordinaria2aparte.pdf
65
Apuntes - ApuntesIntegralesYOptimizacionMatesI-ElenaCano.pdf
11 páginas
55
Ejercicios - Boletin-tema-1.pdf
10 páginas
50
Exámenes - OrdinariaTemas6-8resolucion.pdf
42
Exámenes - Extraordinaria2aparteresuelta.pdf
89
Exámenes - Examen-(T.6-T.8)-modelo-1.pdf
45
Exámenes - ExtraordinariaTemas6-8resolucion.pdf
14 páginas
39
Exámenes - Examen-(T.6-T.8)-modelo-2.pdf
43