AnaG2
EJERCICIOS CORREGIDOS POR EL PROFESOR
Taylor enunciados.pdf
7 páginas
Taylor soluciones.pdf
Integrales enunciados.pdf
2 páginas
integrales soluciones.pdf
Soluciones ecuaciones diferenciales y en diferencias.pdf
Enunciados ecuaciones diferenciales.pdf
Exámenes - Convocatoria-Diciembre-2021.pdf
pdf
10 páginas
31
1
Apuntes - Importante-mates-ii.pdf
4 páginas
28
Ejercicios - Taylor enunciados.pdf
21
0
Exámenes - 24-2-2021-resuelto.pdf
9 páginas
19
Apuntes - Temario-Mates-II-23-24.pdf
109 páginas
20
2
Exámenes - 12-2-2021-Resuelto.pdf
5 páginas
14
Exámenes - 2-Convocatoria-2021.pdf
10
Exámenes - Enunciado-septiembre-2021.pdf
1 página
Ejercicios - Taylor soluciones.pdf
18
Apuntes - Examenes-anos-anteriores.pdf
42 páginas
23
Ejercicios - integrales soluciones.pdf
13
Ejercicios - Integrales enunciados.pdf
Exámenes - 2-Parcial-2022.pdf
6 páginas
Ejercicios - Soluciones ecuaciones diferenciales y en diferencias.pdf
9
Exámenes - 1-Convocatoria-2022-resuelto.pdf
11
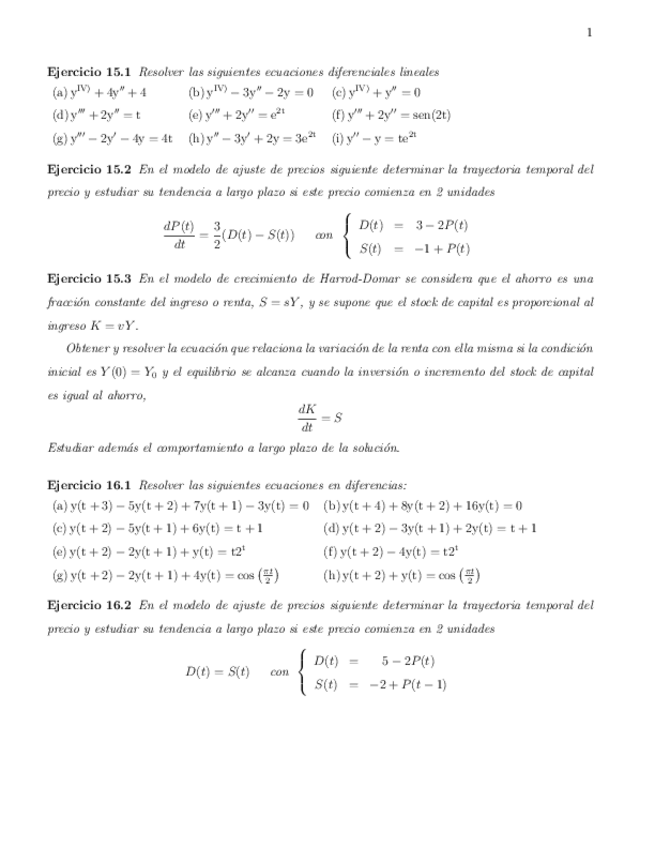
Ejercicios - Enunciados ecuaciones diferenciales.pdf
12
Exámenes - 1-Parcial-2021-resuelto.pdf
Exámenes - EXAMEN-SEGUNDO-PARCIAL.pdf
Apuntes - Matematicas-II-Pepepart1.pdf
50 páginas
Exámenes - 3-Convocatoria-2022.pdf
6