fabrik00

Estadistica-5.pdf

Miniatura del documento Estadistica-5.pdf

Portada

Miniatura del documento Estadistica-5.pdf

Fecha de subida

13 mar 2020

Categoría

ejercicios

Información

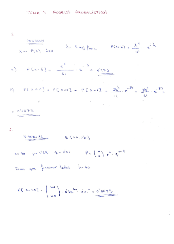
Todos los ejercicios resueltos a mano de Estadística (Matemáticas IV)

Etiquetas

category

ejercicios

content_copy

Archivos recomendados