Parcial-Hamiltoniana-171218.pdf

anonymous2

Segundo Parcial Hamilton

8 archivos·

Junio-2018-Hamiltoniana.pdf

4 páginas

Parcial-Hamiltoniana-171218.pdf

5 páginas

Ejercicio-1-de-clase.pdf

3 páginas

ResumenFormulario-segundo-parcial.pdf

5 páginas

Junio-2017-Hamiltoniana.pdf

3 páginas

Ejercicio-2-de-clase.pdf

5 páginas

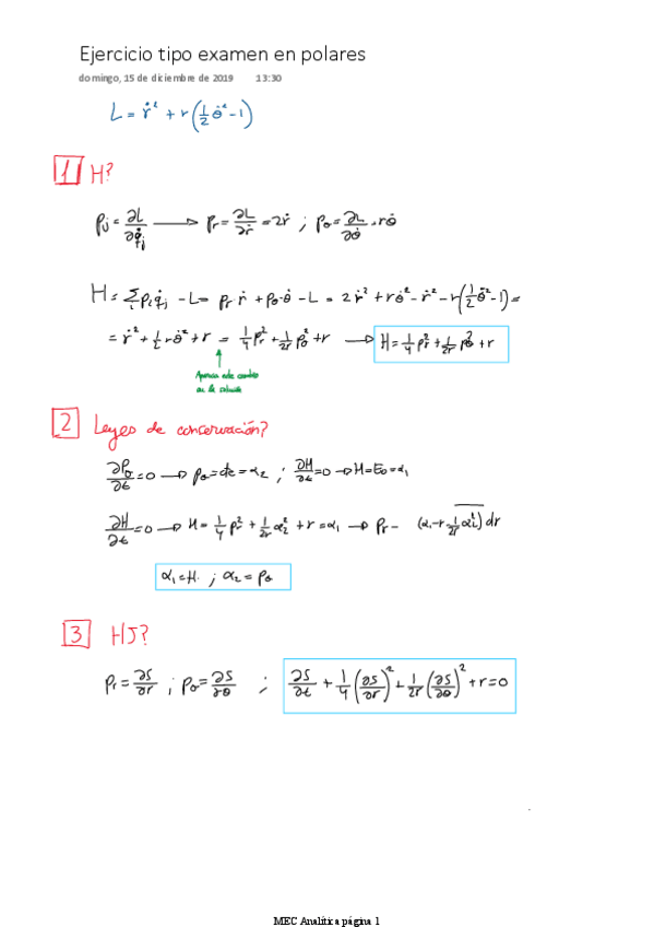
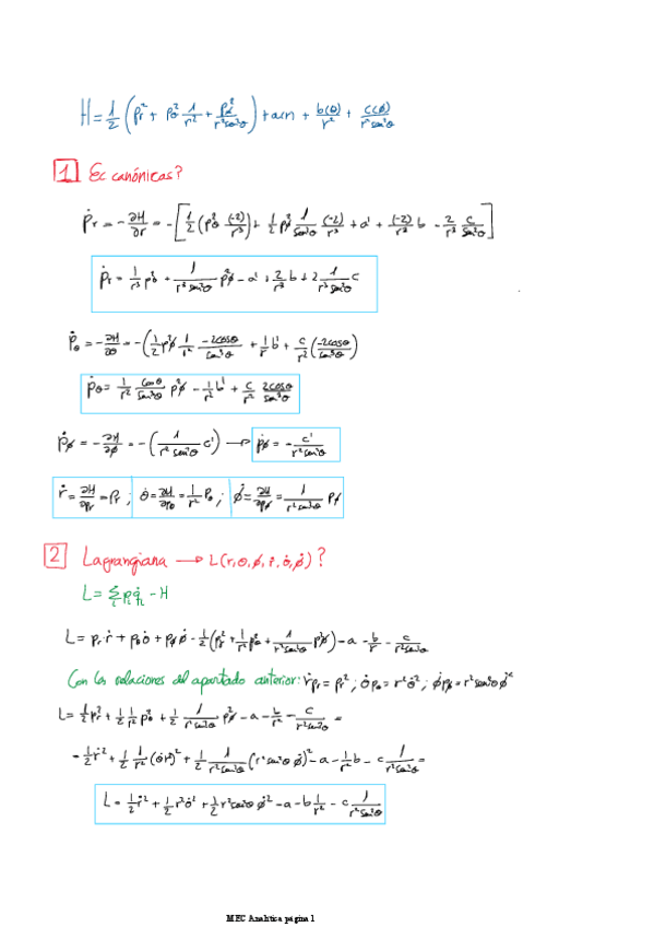
Ejercicicio-tipo-examen-polares.pdf

3 páginas

Ejercicio-4-de-claseESFERICAS.pdf

4 páginas

content_copy

Archivos recomendados