CoronaPhysics
Problemas resueltos
Boletin-5-resuelto.pdf
6 páginas
Boletin-2-resuelto.pdf
Boletin-4-resuelto.pdf
5 páginas
Boletin-1resuelto.pdf
7 páginas
Boletin-7-resuelto.pdf
10 páginas
Boletin-6-resuelto.pdf
15 páginas
Problemas-extra-Armando-resueltos.pdf
Boletin-3-resuelto.pdf
Ejercicios - Boletin-6-resuelto.pdf
pdf
138
0
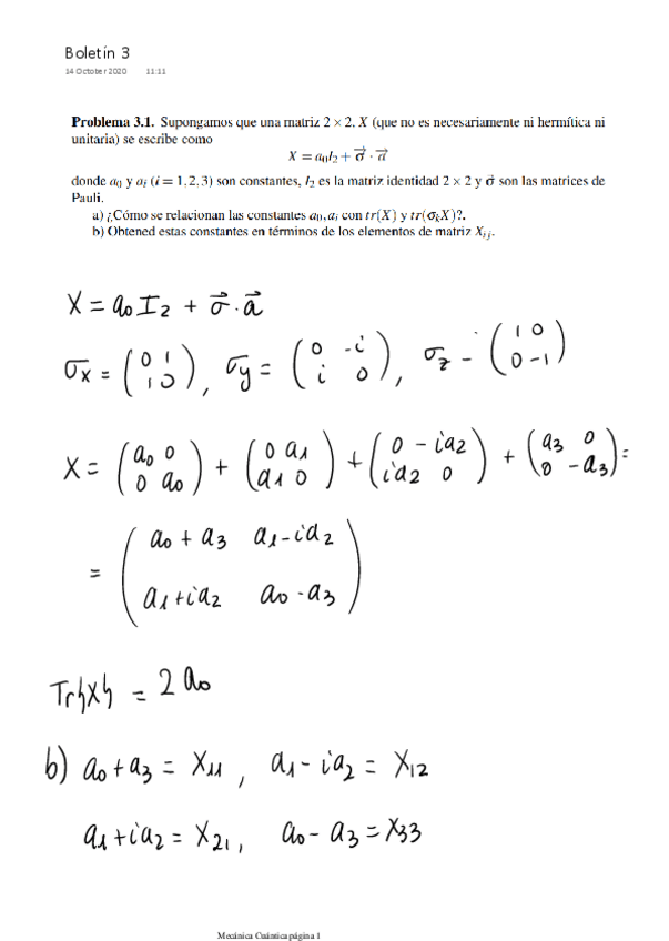
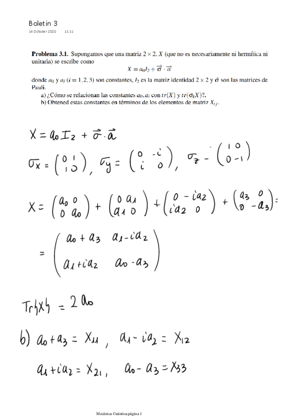
Ejercicios - Boletin-3-resuelto.pdf
120
Ejercicios - Boletin-7-resuelto.pdf
119
Ejercicios - Boletin-1resuelto.pdf
128
Exámenes - Examen-junio-2020-3-resuelto.pdf
4 páginas
108
Ejercicios - Boletin-2-resuelto.pdf
110
Exámenes - Examen-junio-2020-5-resuelto.pdf
102
Exámenes - 2021-Enero220109191230.pdf
0 páginas
91
Exámenes - Examen-enero-2020-resuelto.pdf
16 páginas
101
Ejercicios - Boletin-5-resuelto.pdf
106
Exámenes - Examen-junio-2020-2-resuelto.pdf
82
Apuntes - Tema1.pdf
14 páginas
67
Exámenes - 2020-Enero220104190634-2.pdf
115
Exámenes - Examen-enero-2018-resuelto.pdf
2 páginas
84
Exámenes - Examen-enero-2019-resuelto.pdf
85
Exámenes - Examen-junio-2020-6-resuelto.pdf
87
Ejercicios - 8.pdf
13 páginas
Apuntes - resumen-cuqui-mec-cuantica.pdf
73
Exámenes - Examen-junio-2020-1-resuelto.pdf
78
Exámenes - Examen-junio-2018-resuelto.pdf