Portada
Asignatura
Grado en Física (UV)
Oscilaciones y Ondas
Fecha de subida
30 ene 2020
Categoría
ejercicios
Etiquetas
Apuntes - BOLETIN-3-OSCILACIONES-FORZADAS.pdf
pdf
14 páginas
422
0
Apuntes - BOLETIN-2-OSCILACIONES-FORZADAS.pdf
9 páginas
327
Apuntes - BOLETIN-4-ECUACION-DE-ONDAS.pdf
263
Apuntes - BOLETIN-1-OSCILACIONES-SIMPLES-Y-AMORTIGUADAS.pdf
12 páginas
354
Exámenes - ExamenOO201906C1solucion.pdf
6 páginas
189
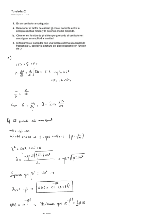
Ejercicios - Tuteladas-2.pdf
13 páginas
169
Ejercicios - OndasTema3ejerciciosresueltos.pdf
20 páginas
177
Exámenes - ExamenOO201805C1solucion.pdf
147
Ejercicios - Tuteladas-3.pdf
42 páginas
146
Exámenes - ExamenOO201806C2solucion.pdf
5 páginas
129
1
Ejercicios - Tuteladas-1.pdf
159
Exámenes - ExamenOO201707C2solucion.pdf
109
Ejercicios - OndasTema1ejercicio3.pdf
141
Ejercicios - Tuteladas-5.pdf
10 páginas
70
Ejercicios - Tema-3.pdf
32 páginas
92
Ejercicios - OndasTema5ejerciciosresueltos.pdf
8 páginas
87
Ejercicios - OiOTutelada1.pdf
94
Exámenes - OO.pdf
63
Ejercicios - Tema-2.pdf
91
Exámenes - ExamenOO20160610solucionSN.pdf
60