AroaPerez
Tema 7
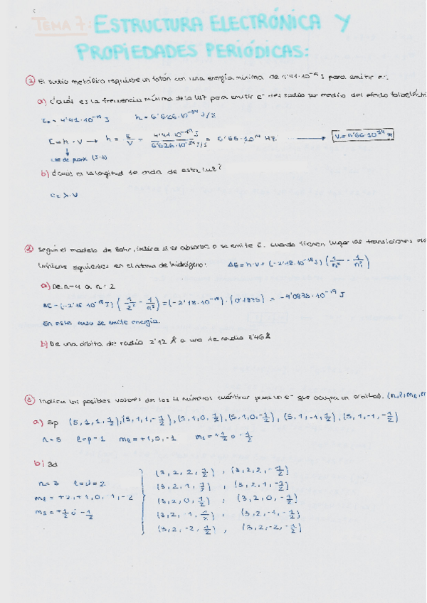
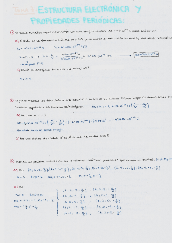
Algunos ejercicios resueltos tanto normales como de examen
EJERCICIOS.pdf
7 páginas
Tema 7. Cuestiones y problemas.pdf
Prácticas - P3.docx
docx
138
0
Apuntes - QUIMICA-GENERAL.docx
41
1
Ejercicios - EJERCICIOS NORMALES.pdf
pdf
5 páginas
329
Exámenes - examen enero2017.pdf
2 páginas
169
4 páginas
307
Exámenes - Examen-2021-Febrero.pdf
268
5
263
8 páginas
242
191
Exámenes - Examen-2020.pdf
201
3
Ejercicios - EJERCICIOS.pdf
174
188
Exámenes - EXAMEN-QUIMICA-GENERAL-ENERO-2020.pdf
3 páginas
143
Apuntes - Resumen química general.pdf
13 páginas
101
Ejercicios - EJERCICIOS DE EXAMEN.pdf
11 páginas
142
Prácticas - Practicas-Laboratorio.docx.pdf
120
2
158
Apuntes - TEMA 1.pdf
94
Apuntes - Resumen Esquemático.pdf
4
Exámenes - Preguntas-examen-de-practicas.pdf
97
8