Aprobaditox
RESUELTOS EJERCICIOS POR TEMAS
RESUELTOS-Ejercicios-Tema-6.pdf
4 páginas
RESUELTOS-Ejercicios-Tema-2.pdf
14 páginas
RESUELTOS-Ejercicios-Tema-1.pdf
10 páginas
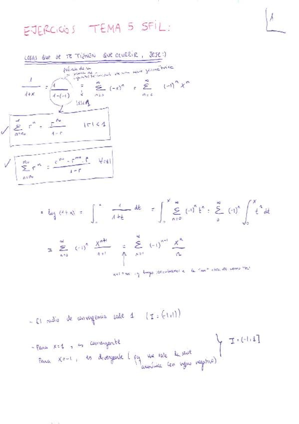
RESUELTOS-Ejercicios-Tema-5-.pdf
9 páginas
RESUELTOS-Ejercicios-Tema-3.pdf
RESUELTOS-Ejercicios-Tema-4.pdf
6 páginas
Apuntes - Demostraciones-Primer-Parcialwatermarked.pdf
pdf
10
0
Apuntes - Apuntes-Tema-5-La-Medida-de-Lebesgue-en-Rwatermarked.pdf
12
Apuntes - Apuntes-Tema-4-Series-de-Fourierwatermarked.pdf
3 páginas
7
Apuntes - Apuntes-Tema-3-Series-de-Potenciaswatermarked.pdf
2 páginas
Apuntes - Apuntes-Tema-1-Integrales-Impropias-de-Riemannwatermarked.pdf
8
Exámenes - EXAMEN-RESUELTO-Primer-parcial-2018-2019.pdf
23
Apuntes - Apuntes-Tema-2-Sucesiones-y-Series-de-Funcioneswatermarked.pdf
Apuntes - Apuntes-Tema-6-La-Integral-de-Lebesgue-en-Rwatermarked.pdf
6
Ejercicios - Tema2-SFIL.pdf
16 páginas
15
Apuntes - Teoria-Sfil-PARCIAL-1.pdf
5
Apuntes - Tema-1.pdf
8 páginas
16
Apuntes - Demostraciones-Segundo-Parcialwatermarked.pdf
5 páginas
Ejercicios - realcomplex.pdf
21 páginas
Ejercicios - RESUELTOS-Ejercicios-Tema-3.pdf
9
Ejercicios - tema4-sfil.pdf
Apuntes - Tema2w.pdf
19 páginas
Apuntes - T1-SFIL.pdf
11
Ejercicios - Tema-3-SFIL.pdf
15 páginas
4
Ejercicios - Problemas-U4watermarked.pdf
Ejercicios - Problemas-U1watermarked.pdf
13 páginas