Portada
Asignatura
Grado en Física (UV)
Teoría Cuántica de Campos
Fecha de subida
23 jun 2021
Categoría
ejercicios
Etiquetas
Apuntes - QFT.pdf
pdf
178 páginas
152
2
Ejercicios - Boletin-2.pdf
32 páginas
97
0
Ejercicios - Boletin-1.pdf
21 páginas
99
Ejercicios - Boletin-3.pdf
4 páginas
77
Ejercicios - Boletin-6.pdf
24 páginas
56
Ejercicios - Boletin-5.pdf
13 páginas
50
Ejercicios - Boletin-4.pdf
8 páginas
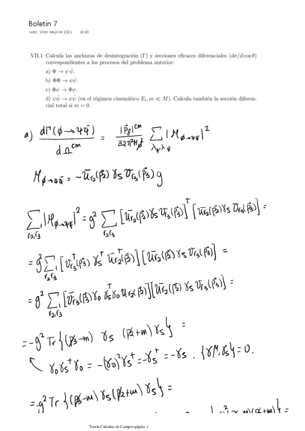
Ejercicios - Boletin-7.pdf
42
Ejercicios - Entregable-1.pdf
3 páginas
36
Apuntes - CamposTema8.pdf
16 páginas
9
Apuntes - CamposTema2.pdf
22 páginas
19
Exámenes - ExamenCamposMayo2023.pdf
14 páginas
21
Ejercicios - CamposBoletin1.pdf
15 páginas
Ejercicios - CamposBoletin2.pdf
12 páginas
25
Ejercicios - CamposBoletin6.pdf
17 páginas
16
Apuntes - CamposTema1.pdf
18
1
Exámenes - Mayo2022.pdf
11 páginas
17
Exámenes - ExamenCamposMayo2021Teoria.pdf
Apuntes - CamposTema3.pdf
13
Ejercicios - CamposBoletin4.pdf
6 páginas
12