Dyesirae
Guion de ejercicios
Explicación paso a paso para resolver los ejercicios de los diferentes boletines
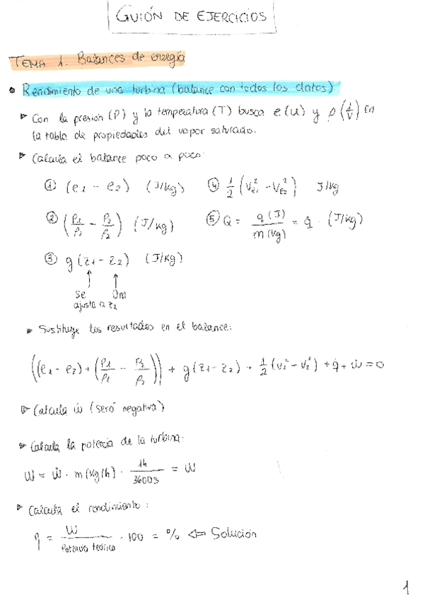
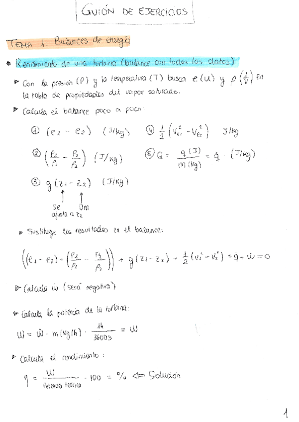
Guion-de-ejercicios-Tema-1.Balances-de-energia.pdf
7 páginas
Guion-de-ejercicios-2-Flujo-interno-de-fluidos-incompresibles.pdf
9 páginas
Guion-de-ejercicios-6-Mecanismos-de-transmision-de-calor.pdf
6 páginas
Guion-de-ejercicios-7-Intercambiadores-de-calor.pdf
6 páginas
Guion-de-ejercicios-8-Operaciones-de-post-tratamiento.pdf
2 páginas