@agobiadUS

Estudios: Grado en Matemáticas (US) ...Mostrar más

Bio: ---

795 Publicaciones

20.74k Interacciones

53 Seguidores

4 Siguiendo

Lista de publicaciones de agobiadUS

He publicado nuevos examenes de 3º Geometría Local de Curvas y Superficies: PREFINAL-GRUPO-B-2024-RESUELTO.pdf

8 páginas

He publicado nuevos examenes de 3º Geometría y Topología de Superficies: EXAMEN-JUNIO-2025-TOPOLOGIA-RESUELTO.pdf

8 páginas

He publicado nuevos examenes de 3º Geometría y Topología de Superficies: EXAMEN-RESUELTO-GEOMETRIA-2025-GRUPO-B.pdf

6 páginas

He publicado nuevos examenes de 3º Geometría Local de Curvas y Superficies: 2-Convocatoria-22-23-RESUELTO.pdf

8 páginas

He publicado nuevos apuntes de 4º Análisis Numérico de Ecuaciones Diferenciales: Apuntes-Segundo-Parcial-ANED.pdf

26 páginas

He publicado nuevos apuntes de 4º Infraestructura de Sistemas de Información: Resumen-Bloque-II-Teoria.pdf

20 páginas

He publicado nuevos apuntes de 3º Gestión y Estrategia Empresarial: Resumen-teoria-RRHH.pdf

14 páginas

He publicado nuevos examenes de 3º Procesadores de Lenguajes: Lenguaje-Break-Sintactico-y-Semantico.pdf

5 páginas

He publicado nuevos examenes de 3º Gestión y Estrategia Empresarial: Examen-RESUELTO-contabilidad-financiera-2023.pdf

5 páginas

practicas

-

ESTUDIOS TEORICOS RESUELTOS

He publicado nuevos practicas de 4º Infraestructura de Sistemas de Información: ESTUDIOS TEORICOS RESUELTOS

Lab-2-Estudio-Teorico-Resuelto.pdf
LAB-1-ESTUDIO-TEORICO-RESUELTO.pdf
Lab-3-Estudio-Teorico-Resuelto.pdf

He publicado nuevos apuntes de 4º Infraestructura de Sistemas de Información: Resumen-Bloque-I-Teoria.pdf

10 páginas

examenes

-

PRACTICA 2022 RESUELTO primer parcial grupo B

He publicado nuevos examenes de 3º Modelos Lineales y Diseño de Experimentos: PRACTICA 2022 RESUELTO primer parcial grupo B

Primer-parcial-PRACTICAS-2022-RESUELTO-grupo-B.pdf
Miniatura no disponible
hospinfectados.csv

examenes

-

PRACTICA Primera Convocatoria 2023 RESUELTO

He publicado nuevos examenes de 3º Modelos Lineales y Diseño de Experimentos: PRACTICA Primera Convocatoria 2023 RESUELTO

PRACTICA-Primera-Convocatoria-2023-RESUELTO.pdf
Miniatura no disponible
bmd.csv

examenes

-

Control Pisos RESUELTO - prácticas

He publicado nuevos examenes de 3º Modelos Lineales y Diseño de Experimentos: Control Pisos RESUELTO - prácticas

Control-Pisos-RESUELTO.pdf
Miniatura no disponible
pisos.txt

examenes

-

Control Airepolu RESUELTO - practicas R

He publicado nuevos examenes de 3º Modelos Lineales y Diseño de Experimentos: Control Airepolu RESUELTO - practicas R

Control-Airepolu-RESUELTO.pdf
Miniatura no disponible
airepolu.txt

He publicado nuevos examenes de 3º Modelos Lineales y Diseño de Experimentos: Primera-Convocatoria-2023-RESUELTO-teoria.pdf

10 páginas

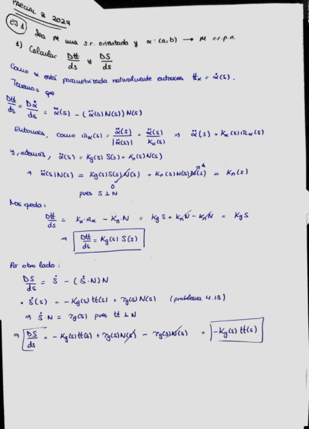
He publicado nuevos examenes de 3º Geometría Local de Curvas y Superficies: Primer-Parcial-RESUELTO-2023.pdf

6 páginas

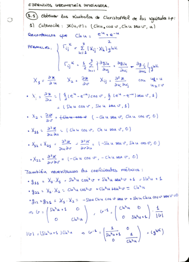
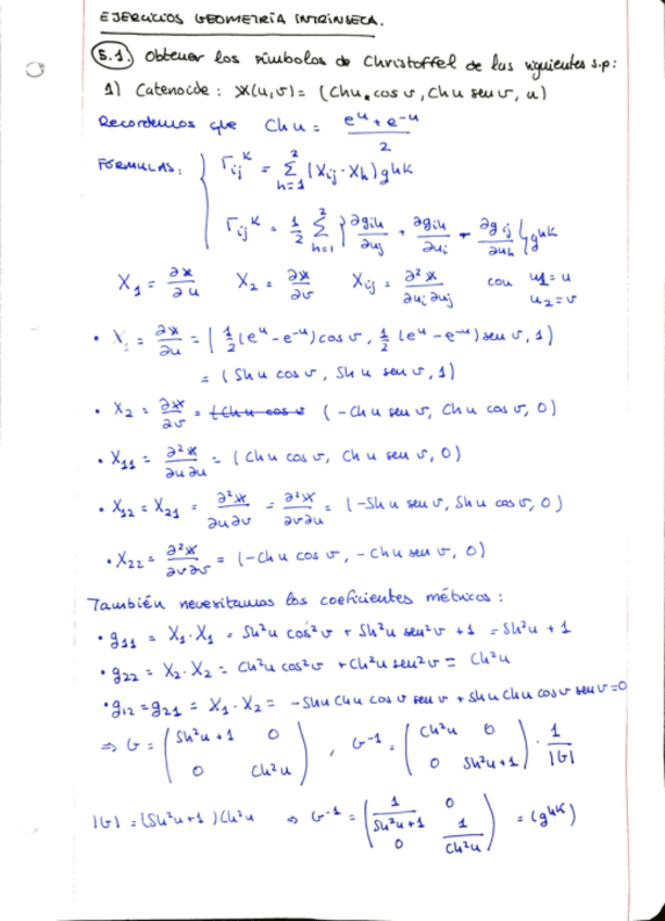
He publicado nuevos ejercicios de 3º Geometría Local de Curvas y Superficies: Problemas-Resueltos-GEOMETRIA-INTRINSECA.pdf

19 páginas

He publicado nuevos ejercicios de 3º Geometría Local de Curvas y Superficies: Problemas-Resueltos-SUPERFICIES.pdf

15 páginas

He publicado nuevos ejercicios de 3º Geometría Local de Curvas y Superficies: Problemas-Resueltos-CURVAS-ALABEADAS.pdf

14 páginas