@anasoldevilla

45 Publicaciones

792 Interacciones

1 Seguidores

0 Siguiendo

Lista de publicaciones de anasoldevilla

He publicado nuevos apuntes de 2º Cálculo Diferencial: Definiciones.pdf

2 páginas

He publicado nuevos apuntes de 2º Cálculo Diferencial: Definiciones.docx

word

He publicado nuevos apuntes de 2º Cálculo Diferencial: Definiciones.docx

word

He publicado nuevos apuntes de 3º Geometría Diferencial y Aplicaciones: Resumen-GDA.pdf

20 páginas

examenes

-

Examenes RESUELTOS

He publicado nuevos examenes de 3º Ecuaciones Diferenciales y Ecuaciones en Diferencias: Examenes RESUELTOS

Segundo-control-RESUELTO.pdf
Primer-control-RESUELTO.pdf
Examen-final-RESUELTO.pdf

He publicado nuevos apuntes de 3º Astronomía y Geodesia: Definiciones-de-Geodesia.docx

word

He publicado nuevos apuntes de 3º Astronomía y Geodesia: Definiciones-de-Astronomia.docx

word

He publicado nuevos apuntes de 3º Ampliación de Métodos Numéricos: Control-de-clase-RESUELTO.pdf

6 páginas

apuntes

-

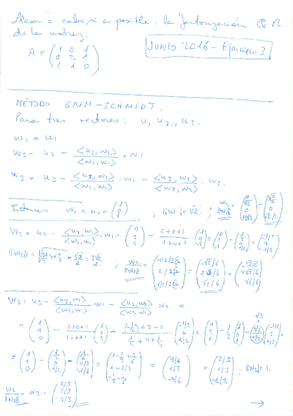
Examen Junio RESUELTO

He publicado nuevos apuntes de 3º Ampliación de Métodos Numéricos: Examen Junio RESUELTO

Enunciado.pdf
Solucion-ej3.pdf
Solucion-ej1.pdf

apuntes

-

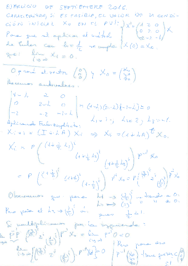
Examen Septiembre RESUELTO

He publicado nuevos apuntes de 3º Ampliación de Métodos Numéricos: Examen Septiembre RESUELTO

Enunciados.pdf
Solucion-ej4.pdf
Solucion-ej3.pdf
Solucion-ej1.pdf

He publicado nuevos apuntes de 3º Ampliación de Métodos Numéricos: Practica-Matlab-RESUELTA.pdf

13 páginas

apuntes

-

Temas y preguntas

He publicado nuevos apuntes de 4º Satélites Artificiales y GNSS: Temas y preguntas

Tema-7.pdf
Tema-4.pdf
Tema-6.pdf
Tema-8.pdf
Tema-3.pdf
Tema-5.pdf

apuntes

-

Prácticas SPSS RESUELTAS

He publicado nuevos apuntes de 4º Gestión de Datos: Prácticas SPSS RESUELTAS

Practica1-SPSS.pdf
Practica2-SPSS-.pdf

He publicado nuevos apuntes de 4º Dinámica Espacial: Practicas-Matlab-Resueltas.pdf

8 páginas

apuntes

-

Apuntes difusión

He publicado nuevos apuntes de 4º Modelización y Resolución de Problemas con Ecuaciones en Derivadas Parciales: Apuntes difusión

PVI-difusion-lineal.pdf
Paseos-aleatorios-y-difusion.pdf
PVI-difusion-lineal-condiciones-de-contorno.pdf