@aperrub

Bio: Doble Mates Informática US. 100% apuntes manuscritos.

157 Publicaciones

1.31k Interacciones

13 Seguidores

7 Siguiendo

Lista de publicaciones de aperrub

He publicado nuevos apuntes de 2º Sistemas Operativos I: ApuntesSSOOI.pdf

41 páginas

He publicado nuevos apuntes de 2º Sistemas Operativos I: Posiblespreguntas.pdf

3 páginas

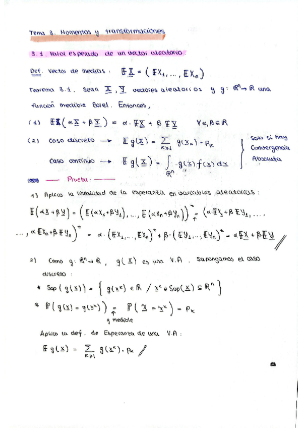
He publicado nuevos ejercicios de 3º Estadística Matemática: Ejercicios-EM-aperrub.pdf

24 páginas

apuntes

-

Apuntes Estadística Matemática

Curso 2025-2026. Apuntes hechos a mano a partir del material de clase y apuntes externos.

Leccion1and2-aperrub.pdf
Distribuciones-aperrub.pdf
Resumenes-EM-L1-L5-aperrub.pdf
Leccion3-aperrub.pdf
Leccion4-aperrub.pdf
Leccion5-aperrub.pdf

He publicado nuevos examenes de 2º Teoría de la Probabilidad: 1er-Parcial-TP-2025-Grupo-2.pdf

1 página

He publicado nuevos examenes de 2º Teoría de la Probabilidad: 2o-Parcial-TP-2025-Grupo-2.pdf

2 páginas

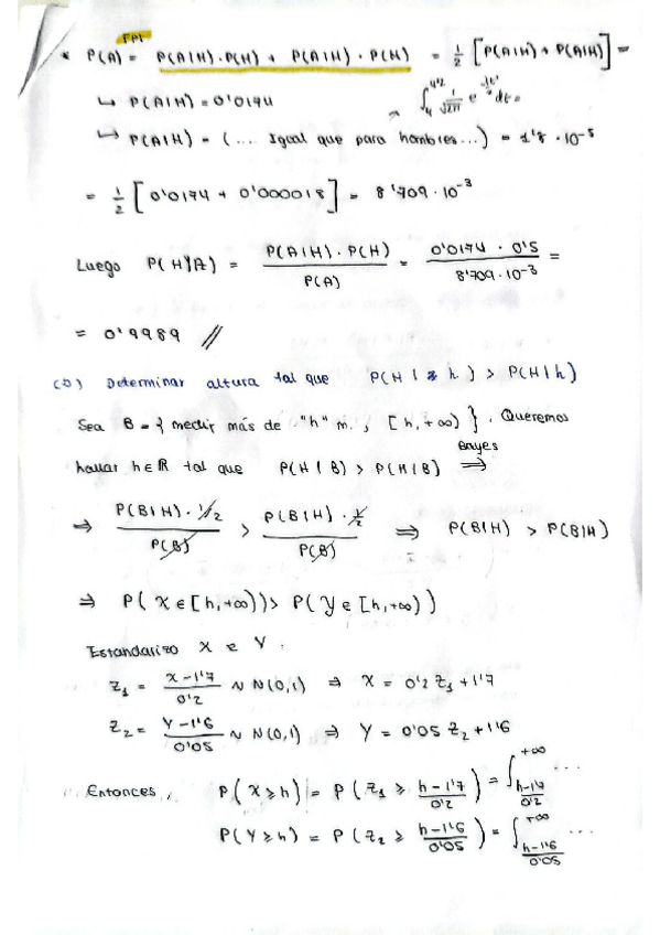
He publicado nuevos examenes de 2º Teoría de la Probabilidad: Ejercicios-de-Examenes-TP.pdf

16 páginas

He publicado nuevos ejercicios de 2º Teoría de la Probabilidad: Ejercicios-TP.pdf

74 páginas

He publicado nuevos examenes de 3º Programación Matemática: Examenes-resueltos-PM.pdf

41 páginas

He publicado nuevos ejercicios de 3º Sistemas Inteligentes: EJEMPLOS-CLIPS.zip

Miniatura no disponible
zip

He publicado nuevos apuntes de 3º Sistemas Inteligentes: Tema-6-SI.pdf

5 páginas

He publicado nuevos apuntes de 3º Sistemas Inteligentes: Tema-8-SI.pdf

3 páginas

He publicado nuevos apuntes de 3º Sistemas Inteligentes: Tema-7-SI.pdf

3 páginas

examenes

-

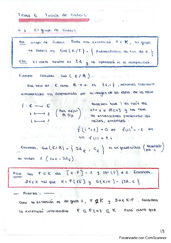
Estructuras Algebraicas

He publicado nuevos examenes de 3º Estructuras Algebraicas: Estructuras Algebraicas

Ejercicios-de-examen-EA-Parcial-1.pdf
Resumen-EA-Parcial-2.pdf
Resumen-EA-Parcial-1.pdf
Estructuras-Algebraicas-Tema-6.pdf
Estructuras-Algebraicas-Tema-5.pdf
Estructuras-Algebraicas-Tema-4.pdf

apuntes

-

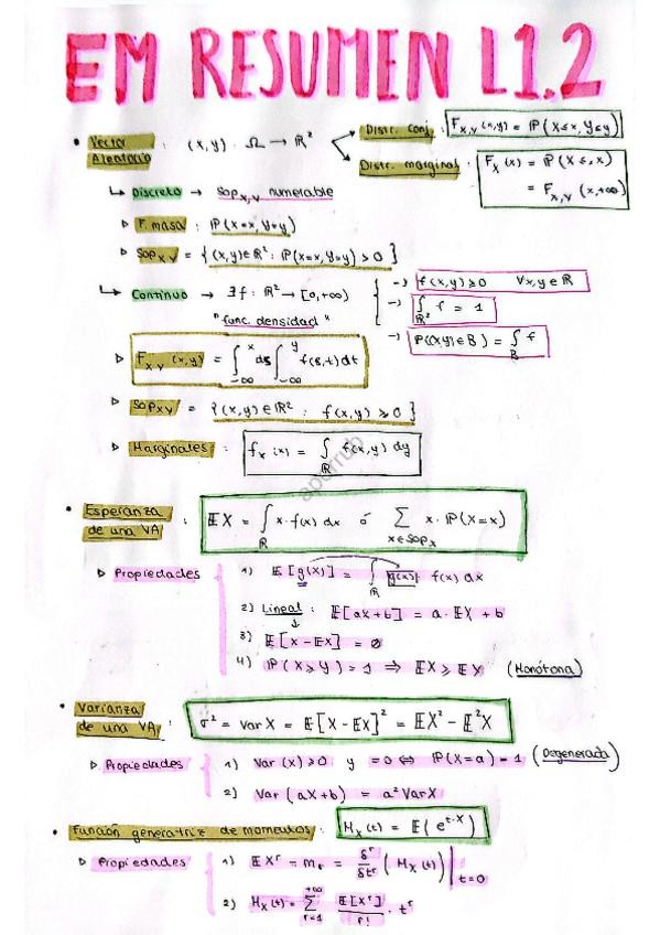
Teoría TP

He publicado nuevos apuntes de 2º Teoría de la Probabilidad: Teoría TP

Tema-4-con-demostraciones.pdf
Tema-3-con-demostraciones.pdf
Tema-2-con-demostraciones.pdf
Tema-1-con-demostraciones.pdf
Resumen-TP-todos-los-temas.pdf
Tema-5-con-demostraciones.pdf

He publicado nuevos apuntes de 3º Programación Matemática: Teoria-temas-6-y-7.pdf

6 páginas

He publicado nuevos apuntes de 3º Programación Matemática: Teoria-tema-5.pdf

9 páginas

He publicado nuevos apuntes de 3º Programación Matemática: Teoria-tema-4.pdf

8 páginas

He publicado nuevos apuntes de 3º Programación Matemática: Teoria-tema-2.pdf

10 páginas

He publicado nuevos apuntes de 3º Programación Matemática: Teoria-tema-3.pdf

4 páginas