@arcangelPA

9 Publicaciones

539 Interacciones

0 Seguidores

0 Siguiendo

Lista de publicaciones de arcangelPA

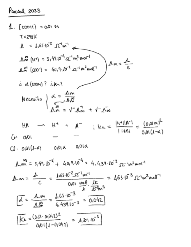
He publicado nuevos examenes de 2º Química Física II: Parcial2023.pdf

4 páginas

He publicado nuevos examenes de 2º Química Orgánica II: Parcial-organica-2023.pdf

3 páginas

He publicado nuevos examenes de 1º Biología: Ordinaria-biologia-2021-2022.pdf

4 páginas

He publicado nuevos otros de 2º Química Inorgánica I: Cosas-que-hay-que-tener-claras-para-el-final.pdf

10 páginas

He publicado nuevos apuntes de 1º Matemáticas II: Tema2-TRASNFORMACIONES-LINEALES.pdf

5 páginas

apuntes

-

Tema1b ESPACIOS VECTORIALES

He publicado nuevos apuntes de 1º Matemáticas II: Tema1b ESPACIOS VECTORIALES

Tema1b-ESPACIOS-VECTORIALES.pdf

He publicado nuevos apuntes de 1º Matemáticas II: Tema1a-SISTEMAS-DE-ECUACIONES-LINEALES.pdf

7 páginas