@DGEME

Estudios: Grado en Matemáticas (UCM) ...Mostrar más

8 Publicaciones

97 Interacciones

1 Seguidores

0 Siguiendo

Lista de publicaciones de DGEME

examenes

-

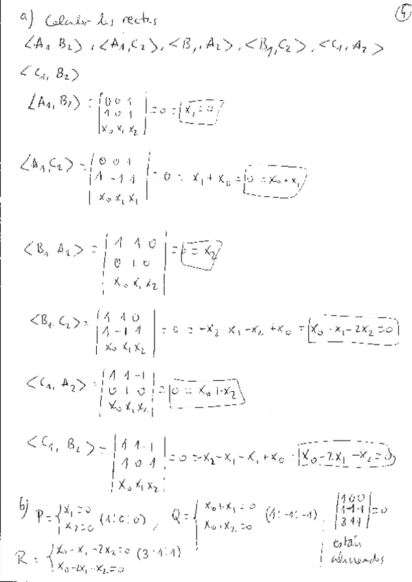
Segundo control con soluciones

He publicado nuevos examenes de 2º Geometría Lineal: Segundo control con soluciones

Control 2 con soluciones-1.pdf
Control 2 con soluciones-1.pdf
Control 2 con soluciones-2.pdf
Control 2 con soluciones-2.pdf
Control 2 con soluciones-3.pdf
Control 2 con soluciones-3.pdf

He publicado nuevos examenes de 2º Geometría Lineal: Control 3 con soluciones.pdf

6 páginas

He publicado nuevos examenes de 2º Geometría Lineal: Primer control con soluciones.pdf

6 páginas

He publicado nuevos examenes de 3º Economía Española: IMG_20171031_134916.jpg

Imagen