@Dinatom

42 Publicaciones

4.19k Interacciones

2 Seguidores

0 Siguiendo

Lista de publicaciones de Dinatom

He publicado nuevos practicas de 3º Química Analítica II: Practicas-QAII-grupo-T4.pdf

32 páginas

ejercicios

-

Verdadero / Falso

He publicado nuevos ejercicios de 2º Química Biológica: Verdadero / Falso

VF-Nuecleotidos.pdf
VF-Carbohidratos.pdf
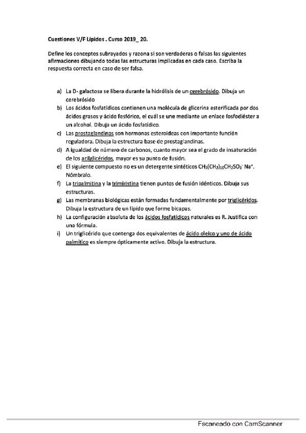
VF-lipidos.pdf
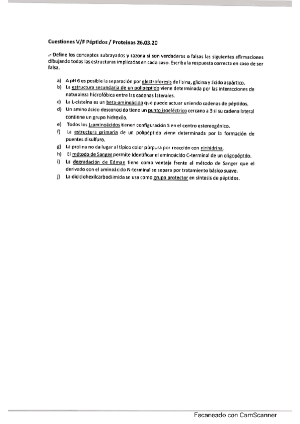
VF-Aminoacidos.pdf

ejercicios

-

CPA

He publicado nuevos ejercicios de 2º Química Biológica: CPA

Test-CPA.pdf
CPA-nomenclatura.pdf

ejercicios

-

Seminarios Resueltos

He publicado nuevos ejercicios de 2º Química Biológica: Seminarios Resueltos

Seminario-4-Acidos-Nucleicos.pdf
Seminario-2-Carbohidratos.pdf
Seminario-1-Aminoacidos.pdf
Seminario-Carbohidratos.pdf
Seminario-3-Lipidos.pdf
Seminario-Aminoacidos.pdf

He publicado nuevos ejercicios de 2º Química Inorgánica I: Seminario-8-Inorganica-I-resuelto.pdf

11 páginas

ejercicios

-

Seminario 7 resuelto

He publicado nuevos ejercicios de 3º Química Analítica II: Seminario 7 resuelto

Seminario-7.pdf
Seminario-7-Analitica-II.pdf

ejercicios

-

Seminario 6 resuelto

He publicado nuevos ejercicios de 3º Química Analítica II: Seminario 6 resuelto

Seminario-6.pdf
Seminario-6-analitica-II.pdf

He publicado nuevos ejercicios de 3º Ingeniería Química: Problema-Balance-Materia.pdf

5 páginas

ejercicios

-

Seminario BM resueltos

He publicado nuevos ejercicios de 3º Ingeniería Química: Seminario BM resueltos

Seminario-BM.pdf
PROBLEMAS-BM-seminario-curso-201920.pdf

He publicado nuevos ejercicios de 2º Química Inorgánica I: Seminario-7-inorganica-I.pdf

4 páginas

ejercicios

-

Seminario 6 resuelto

He publicado nuevos ejercicios de 2º Química Inorgánica I: Seminario 6 resuelto

Seminario-6-Inorganica-I.pdf
Seminario-6.pdf

ejercicios

-

Seminario 5 resuelto

He publicado nuevos ejercicios de 3º Química Analítica II: Seminario 5 resuelto

Seminario-5.pdf
Seminario-5-corregido-Analitica-II.pdf

ejercicios

-

Seminario 5 resuelto

He publicado nuevos ejercicios de 2º Química Inorgánica I: Seminario 5 resuelto

Seminario-5.pdf
Seminario-5-inorganica-I.pdf

Resuelto por profesor

4 páginas

He publicado nuevos examenes de 3º Química Analítica II: Examen-1parcial-quimica-analitica-II.pdf

1 página

He publicado nuevos examenes de 2º Química Inorgánica I: Examen-1parcial-quimica-inorganica-I.pdf

1 página

ejercicios

-

Seminario 4 resuelto

He publicado nuevos ejercicios de 3º Química Analítica II: Seminario 4 resuelto

Seminario-4.pdf
Seminario-4-resuelto.pdf

ejercicios

-

Seminario 3 resuelto

He publicado nuevos ejercicios de 2º Química Inorgánica I: Seminario 3 resuelto

Seminario-3-Inorganica-I.pdf
QI2019Seminario3SimetriaI.pdf

ejercicios

-

Seminario 3 resuelto

He publicado nuevos ejercicios de 3º Química Analítica II: Seminario 3 resuelto

Seminario-3-analitica-II.pdf
Seminario-3.pdf

He publicado nuevos ejercicios de 3º Química Analítica II: Seminario-2-Analitica-II.pdf

18 páginas