@Emc_2

60 Publicaciones

1.98k Interacciones

10 Seguidores

1 Siguiendo

Lista de publicaciones de Emc_2

He publicado nuevos apuntes de 3º Topología Elemental: Resumen-Topologia-Segundo-Parcial.pdf

7 páginas

He publicado nuevos apuntes de 3º Análisis de Funciones de Variable Compleja: Teoremas-Compleja-Examen.pdf

7 páginas

He publicado nuevos apuntes de 3º Topología Elemental: Resumen-Topologia-Primer-Parcial.pdf

4 páginas

apuntes

-

Resúmenes e ideas

He publicado nuevos apuntes de 3º Optimización: Resúmenes e ideas

Resumen-Programacion-Lineal-Entera.pdf
Resumen-programacion-no-lineal.pdf

He publicado nuevos apuntes de 3º Geometría Diferencial de Curvas y Superficies: Triptico-resumen-Geometria-Diferencial.pdf

2 páginas

apuntes

-

Apuntes

He publicado nuevos apuntes de 3º Optimización: Apuntes

Tema-2-Programacion-Lineal-Entera.pdf

apuntes

-

Trípticos Historia Matemáticas

He publicado nuevos apuntes de 3º Historia de las Matemáticas: Trípticos Historia Matemáticas

Tema-1-Primeras-Evidencias.pdf
Tema-2-Egipto-y-Mesopotamia.pdf
Tema-3-Grecia-Clasica.pdf
Tema-4-Periodo-helenistico-y-romano.pdf
Tema-5-Matematica-china-e-india-antigua.pdf
Tema-6-Matematicas-medievales.pdf

apuntes

-

Historia de las Matemáticas

He publicado nuevos apuntes de 3º Historia de las Matemáticas: Historia de las Matemáticas

Tema-1-Primeras-evidencias.pdf
Tema-2-Mesopotamia-y-Egipto.pdf
Tema-3-Grecia-Clasica.pdf
Tema-4-Periodo-helenistico-y-romano.pdf
Tema-5-Matematicas-en-China-e-India.pdf
Tema-6-Matematicas-medievales.pdf

apuntes

-

Física

He publicado nuevos apuntes de 2º Física: Mecánica y Ondas: Física

Tema-1-Cinematica.pdf
Tema-2-Dinamica.pdf
Tema-3-Leyes-de-Kepler.pdf
Tema-4-Sistemas-inerciales.pdf
Tema-5-Sistemas-de-particulas.pdf
Tema-6-Rotacion-del-solido-rigido.pdf

He publicado nuevos apuntes de 3º Ecuaciones Diferenciales: Triptico-Teoremas-Teoria-fundamental.pdf

1 página

apuntes

-

Métodos Numéricos

He publicado nuevos apuntes de 2º Métodos Numéricos: Métodos Numéricos

Tema-0-Introduccion-a-analisis-de-errores.pdf
Tema-1-Resolucion-de-ecuaciones-no-lineales.pdf
Tema-2-Interpolacion-de-funciones.pdf
Tema-3-Integracion-numerica.pdf
Tema-4-Complementos-matriciales.pdf
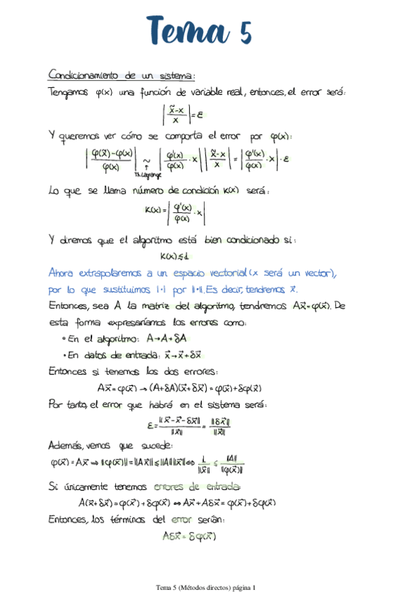
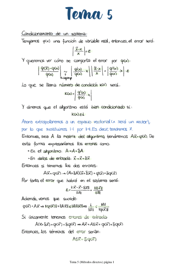
Tema-5-Metodos-directos.pdf

apuntes

-

Geometría Lineal

He publicado nuevos apuntes de 2º Geometría Lineal: Geometría Lineal

Tema-1-Repaso-espacio-afin.pdf
Tema-2-Espacios-proyectivos.pdf
Tema-3-Conicas-y-cuadricas.pdf
Tema-4-Cuadricas-afines.pdf