@farmafiosa

10 Publicaciones

148 Interacciones

4 Seguidores

11 Siguiendo

Lista de publicaciones de farmafiosa

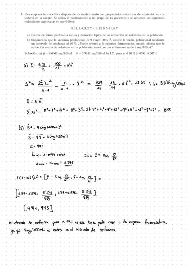
He publicado nuevos apuntes de 1º Biometría: Tema-7-ejercicios resueltos .pdf.pdf

7 páginas

He publicado nuevos apuntes de 1º Anatomía e Histología Humanas: Anatomia-apuntes-muy-completos--con-imagenes.pdf

39 páginas

He publicado nuevos ejercicios de 1º Biometría: Ejercicio-importante-biometria-T6.pdf

2 páginas

He publicado nuevos apuntes de 1º Biometría: Teoria-y-ejemplos-temas-5-y-6.pdf

15 páginas

He publicado nuevos apuntes de 1º Biometría: Ejercicios-resueltos-tema-5-BM.pdf

8 páginas

apuntes

-

Cuestionarios física

He publicado nuevos apuntes de 1º Física y Fisicoquímica Aplicadas a la Farmacia: Cuestionarios física

Cuestionario-2.pdf
Cuestionario-tema-9.pdf
Cuestionario-tema-8.pdf

He publicado nuevos ejercicios de 1º Química Analítica: Problemas-Parcial-1-resueltos.pdf

15 páginas

He publicado nuevos apuntes de 1º Anatomía e Histología Humanas: tejido-epitelial completo .pdf.pdf

7 páginas