@Foster

Bio: La vida es dura, pero más dura es la verdura

45 Publicaciones

850 Interacciones

4 Seguidores

2 Siguiendo

Lista de publicaciones de Foster

He publicado nuevos apuntes de 4º Alimentos Funcionales: Temario-Parcial-1-Alimentos-Funcionales-2020-21.pdf

24 páginas

He publicado nuevos apuntes de 3º Deontología: Bloque-Derecho-Deontologia-2020.pdf

37 páginas

He publicado nuevos apuntes de 1º Biología General: Histologia-Nutricion-2018.pdf

17 páginas

apuntes

-

Higiene Alimentaria 2019 Fos

He publicado nuevos apuntes de 3º Higiene Alimentaria: Higiene Alimentaria 2019 Fos

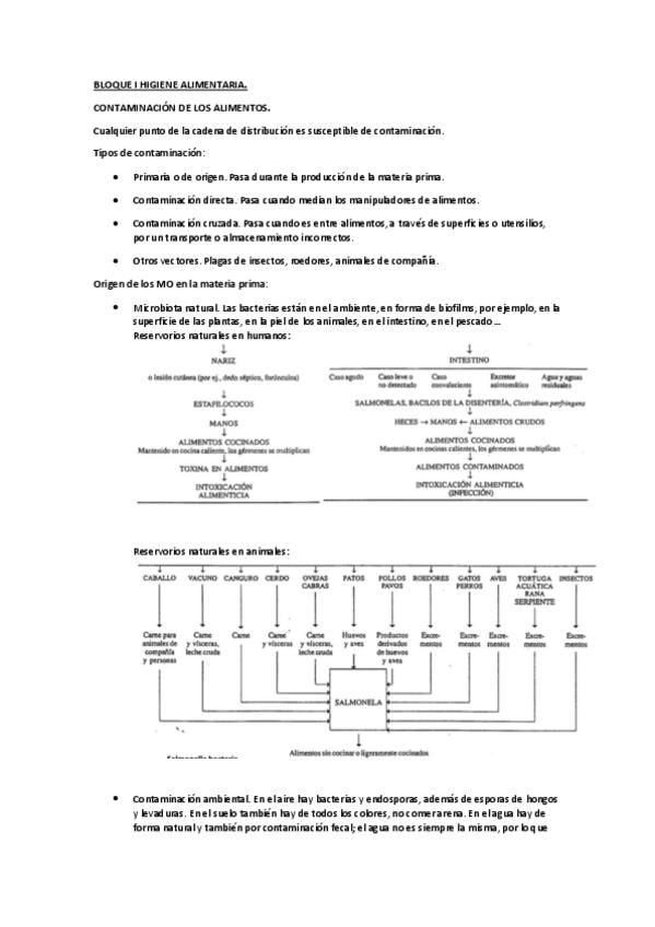
Bloque-I-Higiene-Alimentaria.pdf
Bloque-I-Higiene-Alimentaria.pdf
Bloque-II-Higiene-Alimentaria.pdf
Bloque-II-Higiene-Alimentaria.pdf

apuntes

-

Tecnología Culinaria 2019 Fos

He publicado nuevos apuntes de 3º Tecnología Culinaria: Tecnología Culinaria 2019 Fos

BLOQUE-IV-TC.pdf
BLOQUE-IV-TC.pdf
BLOQUE-III-TC.pdf
BLOQUE-III-TC.pdf
Bloque-II-TC.pdf
Bloque-II-TC.pdf

apuntes

-

Fisiopatología 2019 Fos

He publicado nuevos apuntes de 2º Fisiopatología: Fisiopatología 2019 Fos

Fisiopato-del-Edema.pdf
Fisiopato-del-Edema.pdf
Fisiopato-Aparato-Respiratorio.pdf
Fisiopato-Aparato-Respiratorio.pdf
Fisiopato-Esofagico-y-Gastrico.pdf
Fisiopato-Esofagico-y-Gastrico.pdf

apuntes

-

Microbiología y Parasitología 2019 Fos

He publicado nuevos apuntes de 2º Microbiología y Parasitología de los Alimentos.: Microbiología y Parasitología 2019 Fos

TEMA-36-MYP.pdf
TEMA-25-26-Y-27-MYP.pdf
TEMA-11-MYP.pdf
TEMA-22-MYP.pdf
TEMA-37-MYP.pdf
MYP-T23-Y-24.pdf

apuntes

-

Economía 2019 Fos

He publicado nuevos apuntes de 3º Marketing, Economía y Dirección de Empresas: Economía 2019 Fos

El-sistema-de-calidad.pdf
El-sistema-de-calidad.pdf
Precios-y-marketing.pdf
Precios-y-marketing.pdf
La-empresa.pdf
La-empresa.pdf