@fpalazon

Estudios: Grado en Ingeniería Matemática (UCM) ...Mostrar más

14 Publicaciones

295 Interacciones

3 Seguidores

4 Siguiendo

Lista de publicaciones de fpalazon

He publicado nuevos apuntes de 3º Dos Optativas: algoritmos-opti-ESQUEMA.pdf

8 páginas

examenes

-

EXAMENES RESUELTOS MN

He publicado nuevos examenes de 2º Métodos Numéricos: EXAMENES RESUELTOS MN

diciembre-2023.pdf
ene-2021.pdf
mayo-2019.pdf
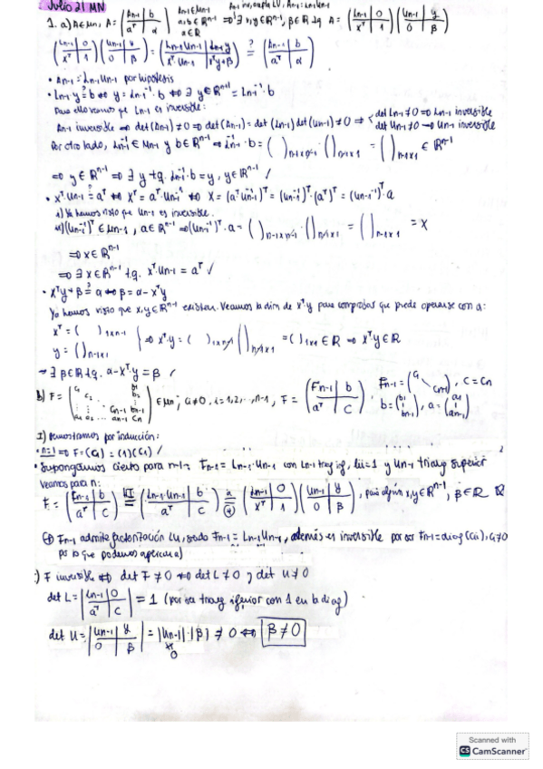
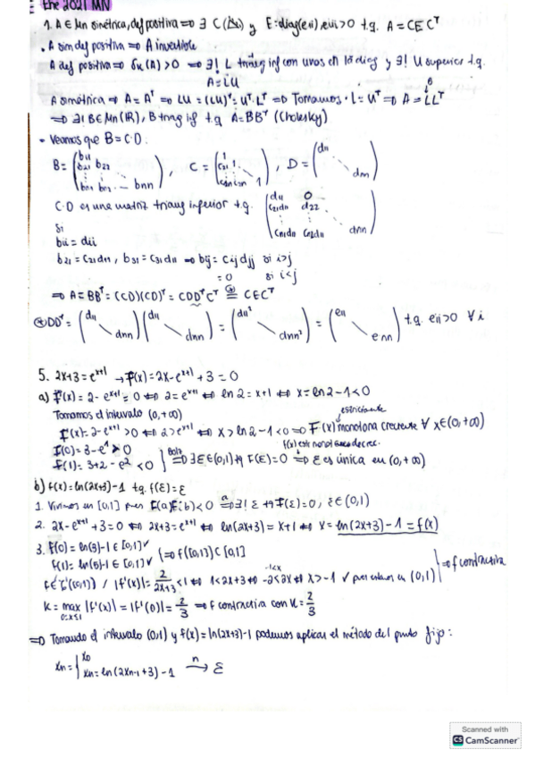
julio-21.pdf
dic-2022.pdf

PRIMEROS PARCIALES RESUELTOS ELEMENTOS

18 páginas

apuntes

-

DEMOSTRACIONES Raquel Mallavibarrena

He publicado nuevos apuntes de 1º Álgebra Lineal: DEMOSTRACIONES Raquel Mallavibarrena

demostraciones-formas-bilineales.pdf
demostraciones-eve-isometrias.pdf
demostraciones-tema-1-algebra.pdf
demostraciones-diagonalizacion.pdf
demostraciones-tema-2-algebra.pdf

He publicado nuevos apuntes de 1º Análisis de Variable Real: demostraciones-analisis-segundo-cuatri.pdf

27 páginas

He publicado nuevos apuntes de 1º Análisis de Variable Real: demostraciones-analisis primer cuatri Paco.pdf

14 páginas