@GammaWave_77

16 Publicaciones

138 Interacciones

0 Seguidores

1 Siguiendo

Lista de publicaciones de GammaWave_77

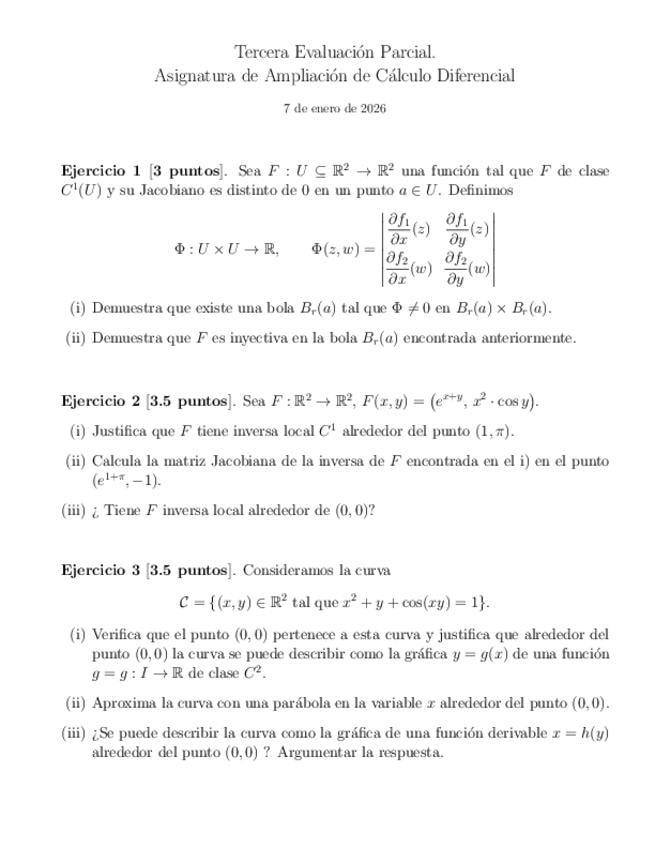
Tercer parcial de Ampliación de Cálculo Diferencial. Curso 2025-2026

1 página

Recuperación del segundo parcial de Ampliación de Cálculo Diferencial. Curso 2025-2026

1 página

Segundo parcial Ampliación de cálculo Diferencial. Curso 2025-2026

1 página

3º parcial, curso 2023-2024. Con corrección.

6 páginas

2º parcial, curso 2023-2024. Con correcciones

7 páginas

1º parcial, curso 2023-2024. Con corrección.

5 páginas

Examen ordinario, curso 2023-2024. Con corrección

11 páginas

Examen extraordinario, curso 2023-2024. Con corrección.

9 páginas

Examen final ordinario, curso 2024-2025. Con soluciones de los bloques 2 y 3. Profesores: Daniel (bloque 1) y Diana (bloques 2 y 3)

8 páginas

Ejercicios sobre: números irracionales, límites, series, desigualdades, sucesiones y diferenciabilidad

18 páginas

Examen ordinario y extraordinario, resuelto. Curso 2022-2023

28 páginas

Longitudes, teorema de Green, función potencial, flujos, teorema de Gauss, y teorema de Stokes

13 páginas

Integrales dobles y triples, cambios de variable e integrales curvilíneas

11 páginas

Tipos de integrales, suma de Riemann, áreas, volumenes, longitudes, superficie de revolución y paso a polares y paramétricas

16 páginas

Examenes finales ordianrios y extraordinarios, desde 2021 hasta 2023 resueltos y corregidos

15 páginas

Parciales desde 2019 hasta 2023 hechos y corregidos

16 páginas