@garciaperis

92 Publicaciones

4.46k Interacciones

15 Seguidores

3 Siguiendo

Lista de publicaciones de garciaperis

He publicado nuevos examenes de 3º Ecuaciones Diferenciales: Examen parcial resuelto.pdf

2 páginas

ejercicios

-

Todos los ejercicios resueltos GEODIF

He publicado nuevos ejercicios de 3º Geometría Diferencial de Curvas y Superficies: Todos los ejercicios resueltos GEODIF

Hoja 1 resuelta.pdf
Hoja 2 resuelta.pdf
Hoja 3 resuelta.pdf
Hoja 4 resuelta.pdf
Hoja 5 resuelta.pdf
Hoja 6 resuelta.pdf

apuntes

-

Teoría completa GEODIF

He publicado nuevos apuntes de 3º Geometría Diferencial de Curvas y Superficies: Teoría completa GEODIF

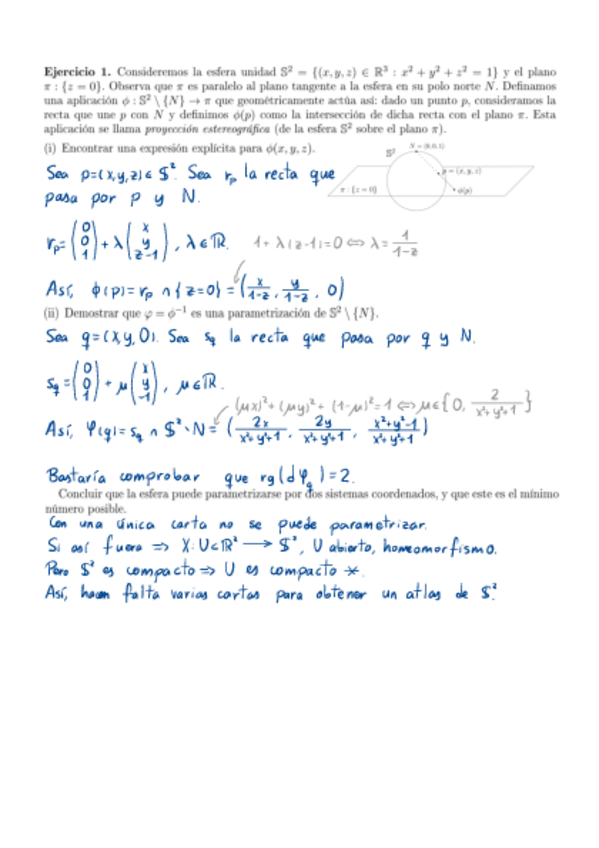
Tema 1. Curvas.pdf
Tema 2. Superficies (parte 1).pdf
Tema 2. Superficies (parte 2).pdf
Tema 2. Superficies (parte 3).pdf

ejercicios

-

Todos los ejercicios resueltos AFVC

He publicado nuevos ejercicios de 3º Análisis de Funciones de Variable Compleja: Todos los ejercicios resueltos AFVC

Hoja 1 resuelta.pdf
Hoja 2 resuelta.pdf
Hoja 3 resuelta.pdf
Hoja 4 resuelta.pdf
Hoja 5 resuelta.pdf
Hoja 6 resuelta.pdf

apuntes

-

Teoría completa AFVC

Iré publicando los apuntes por temas según vaya haciéndolos.

Tema 1. Números complejos: Propiedades algebraicas y topológicas.pdf
Tema 2. Derivación de funciones complejas.pdf
Tema 3. Series de potencias. Funciones elementales.pdf
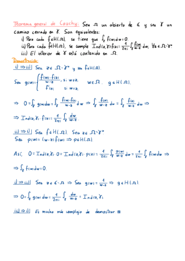
Tema 4 (parte 1). Integración de funciones complejas. Teoría elemental de Cauchy.pdf
Tema 4 (parte 2). Integración de funciones complejas. Teoría elemental de Cauchy.pdf
Tema 4 (parte 3). Integración de funciones complejas. Teoría elemental de Cauchy.pdf

He publicado nuevos apuntes de 3º Análisis de Funciones de Variable Compleja: Preguntas de teoría examen Cobos.pdf

18 páginas

apuntes

-

Teoría completa EDIF

He publicado nuevos apuntes de 3º Ecuaciones Diferenciales: Teoría completa EDIF

Tema 1. Teoría fundamental.pdf
Tema 2. Estabilidad.pdf
Tema 3. Sistemas autónomos. Teoría geométrica y dinámica.pdf

ejercicios

-

Ejercicios resueltos EDO's

He publicado nuevos ejercicios de 2º Elementos de Ecuaciones Diferenciales Ordinarias: Ejercicios resueltos EDO's

Hoja 5.pdf
Hoja 2.pdf
Hoja 3.pdf
Hoja 4.pdf