@GloriaVazquezV

Bio: Tengo un canal en YouTube de divulgación matemática llamado "Movidas Matemáticas". Si quieres echarle un vistazo, búscalo por su nombre o dale a bit.ly/quierosersub. Besitos.?

38 Publicaciones

1.25k Interacciones

6 Seguidores

0 Siguiendo

Lista de publicaciones de GloriaVazquezV

apuntes

-

Optimización con Javier Crespo y Susana

Estos son los apuntes conjuntos de Javier Crespo y Susana. Cada uno da dos temas.

26-y-27-de-febrero-Opti.pdf
2-de-marzo-Opti.pdf

apuntes

-

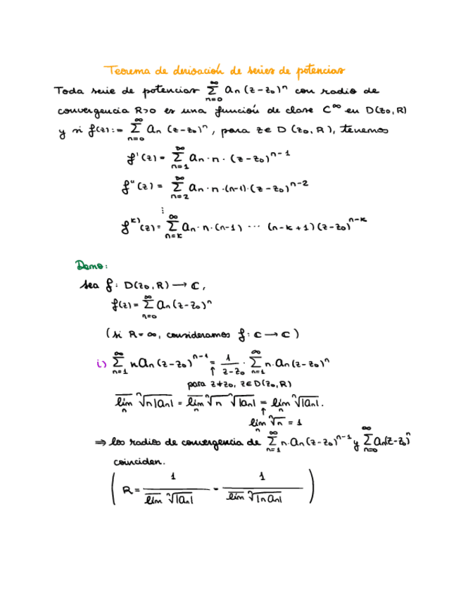
Diarios de Compleja con María del Mar

He publicado nuevos apuntes de 3º Análisis de Funciones de Variable Compleja: Diarios de Compleja con María del Mar

Teoria-13-sept-2019-190219.pdf
Teoria-Compleja-18-sept-2019-.pdf
Teoria-20-sept-2019-191021.pdf
Teoria-23-sept-2019-Compleja.pdf
Teoria-9-de-septiembre-de-Compleja.pdf
Teoria-Compleja-25-sept-2019.pdf

apuntes

-

Topología Elemental con María Garrido

He publicado nuevos apuntes de 3º Topología Elemental: Topología Elemental con María Garrido

IMG20190904113914.pdf
Apuntes-miercoles-5-de-septiembre-Topologia.pdf
Apuntes-de-Topologia-jueves-5-de-septiembre.pdf
Teoria-23-sept-2019-160747.pdf
Teoria-27-sept-2019-Topologia.pdf
Teoria-6-de-septiembre-Topologia-.pdf

apuntes

-

POR TEMAS

He publicado nuevos apuntes de 3º Análisis de Funciones de Variable Compleja: POR TEMAS

Tema-1.pdf
Tema-2.pdf

ejercicios

-

Práctica Topología - Garrido

He publicado nuevos ejercicios de 3º Topología Elemental: Práctica Topología - Garrido

Practica-24-sept-2019-Topologia.pdf
Practica-1-oct-2019-Topologia.pdf
Practica-3-oct-2019-Topologia-.pdf