@las_cosas

21 Publicaciones

126 Interacciones

0 Seguidores

0 Siguiendo

Lista de publicaciones de las_cosas

apuntes

-

Resumenes primer cuatri

He publicado nuevos apuntes de 2º Zoología: Resumenes primer cuatri

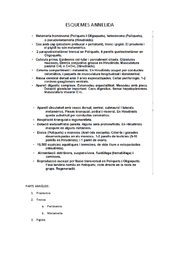
ESQUEMES ANNELIDA.pdf
ESQUEMES TEMA 1 ZOOLOGIA.pdf
ESQUEMES NEMATODA.pdf
ESQUEMES PLATIHELMINTS.pdf
ESQUEMAS PORIFERA.pdf

He publicado nuevos apuntes de 2º Procesos y Mecanismos Evolutivos: DEFINICIONESs.odt

word

apuntes

-

RESUMS BOTÀNICA

He publicado nuevos apuntes de 2º Botánica: RESUMS BOTÀNICA

PHYLUM Cyanophyta.odt
RESUM FONGS VERITABLES.odt
DIVERSITART FONGS.odt

He publicado nuevos apuntes de 2º Métodos Moleculares en Biología: GLOSSARI MMB LABORATORI.odt

word

He publicado nuevos apuntes de 1º Estructura de la Célula: glossari-celula.pdf

9 páginas

He publicado nuevos apuntes de 1º Estructura de la Célula: glossari-celula.odt

word