@LuisaPerez22

89 Publicaciones

1.16k Interacciones

0 Seguidores

0 Siguiendo

Lista de publicaciones de LuisaPerez22

He publicado nuevos examenes de 2º Ampliación de Cálculo Diferencial: SolucionesACAD-enero2021.pdf

7 páginas

He publicado nuevos examenes de 2º Ampliación de Cálculo Diferencial: Parcial3-ACAD-soluciones.pdf

3 páginas

He publicado nuevos examenes de 2º Ampliación de Cálculo Diferencial: Parcial2-ACAD-soluciones.pdf

2 páginas

He publicado nuevos examenes de 2º Ampliación de Cálculo Diferencial: Parcial1-ACAD-soluciones.pdf

2 páginas

He publicado nuevos examenes de 2º Ampliación de Cálculo Diferencial: FinalEnero2021.pdf

1 página

He publicado nuevos ejercicios de 1º Introducción al Lenguaje Matemático: Edp-orden-1.pdf

15 páginas

He publicado nuevos ejercicios de 1º Introducción al Lenguaje Matemático: Edp-2.pdf

9 páginas

He publicado nuevos ejercicios de 1º Introducción al Lenguaje Matemático: Edp-series.pdf

5 páginas

He publicado nuevos apuntes de 2º Estructuras Algebraicas: Teoria-de-Grupos.pdf

6 páginas

He publicado nuevos apuntes de 1º Cálculo Diferencial: Infinitesimos-funciones.pdf

1 página

He publicado nuevos examenes de 1º Álgebra Lineal I: sept.pdf

2 páginas

He publicado nuevos apuntes de 3º Espacios Hilbert: beamer-hilbert-20202021-T3C-PRINT-1.pdf

54 páginas

He publicado nuevos apuntes de 3º Espacios Hilbert: beamer-hilbert-20202021-T2C-PRINT.pdf

64 páginas

He publicado nuevos apuntes de 3º Espacios Hilbert: beamer-hilbert-20202021-T1C-PRINT.pdf

97 páginas

He publicado nuevos apuntes de 3º Espacios Hilbert: hilbert1516eneroejer4.pdf

3 páginas

He publicado nuevos apuntes de 3º Espacios Hilbert: hilbert1920eneroejer4d.pdf

2 páginas

He publicado nuevos apuntes de 3º Espacios Hilbert: hilbert2122parcial2ejercicio2c.pdf

2 páginas

He publicado nuevos apuntes de 3º Espacios Hilbert: hilbert1718eneroejer5a.pdf

4 páginas

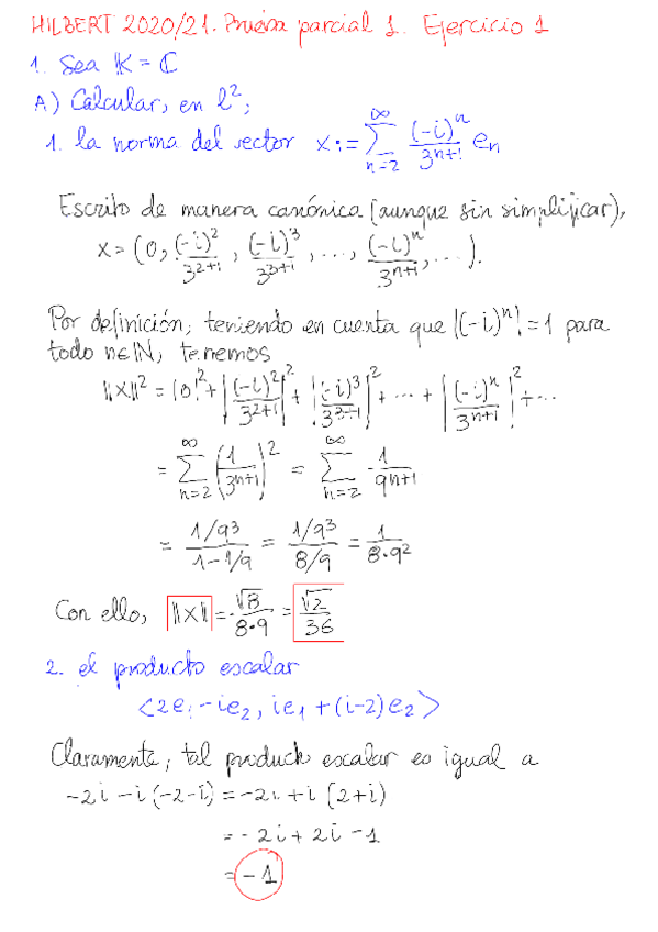
He publicado nuevos apuntes de 3º Espacios Hilbert: hilbert2021parcial1ejer1.pdf

3 páginas

He publicado nuevos apuntes de 3º Espacios Hilbert: hilberthoja5ejer5a.pdf

2 páginas