@marmarde13

8 Publicaciones

659 Interacciones

0 Seguidores

0 Siguiendo

Lista de publicaciones de marmarde13

Teoría esencial de la asignatura muy resumido con algunas notas de R. Sabiéndome esto saqué un 9, espero que os sirva igual que a mí :)

25 páginas

He publicado nuevos apuntes de 3º Inferencia Estadística: 0Examenes-Inferencia.pdf

12 páginas

He publicado nuevos apuntes de 2º Física II: 0Examenes-Fisica.pdf

36 páginas

He publicado nuevos apuntes de 2º Elementos de Probabilidad y Estadística: APUNTES-EPE.pdf

59 páginas

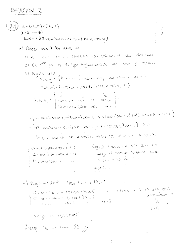
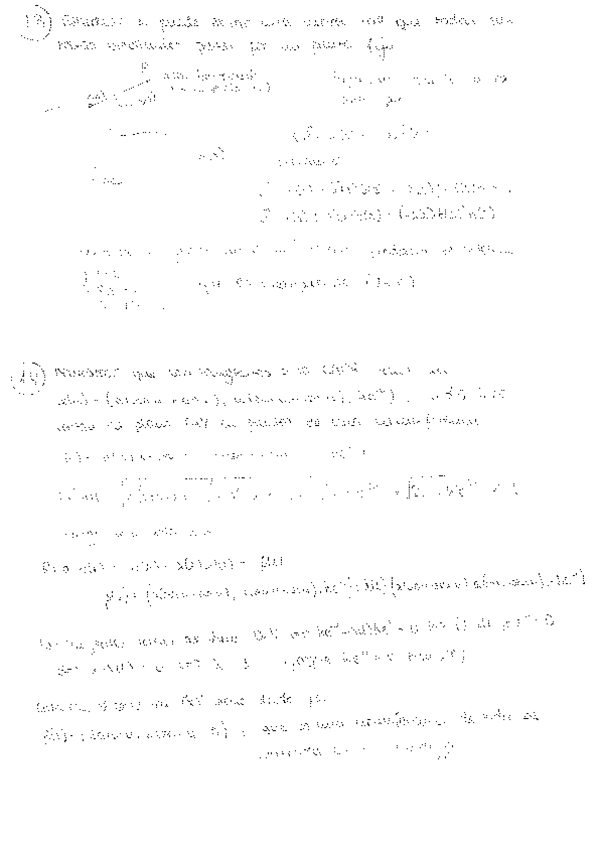
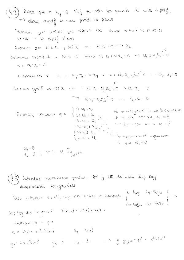
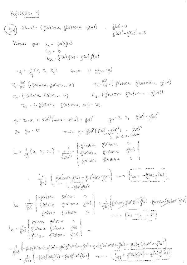
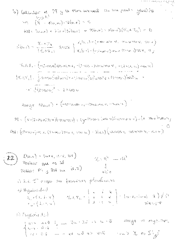
He publicado nuevos ejercicios de 3º Geometría Local de Curvas y Superficies: Relación 1.pdf

14 páginas

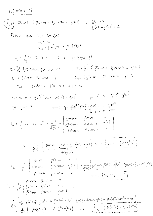
He publicado nuevos ejercicios de 3º Geometría Local de Curvas y Superficies: Relación 4.pdf

25 páginas

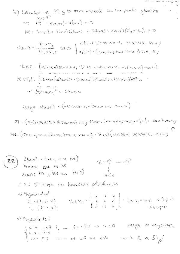
He publicado nuevos ejercicios de 3º Geometría Local de Curvas y Superficies: Relación 3.pdf

17 páginas

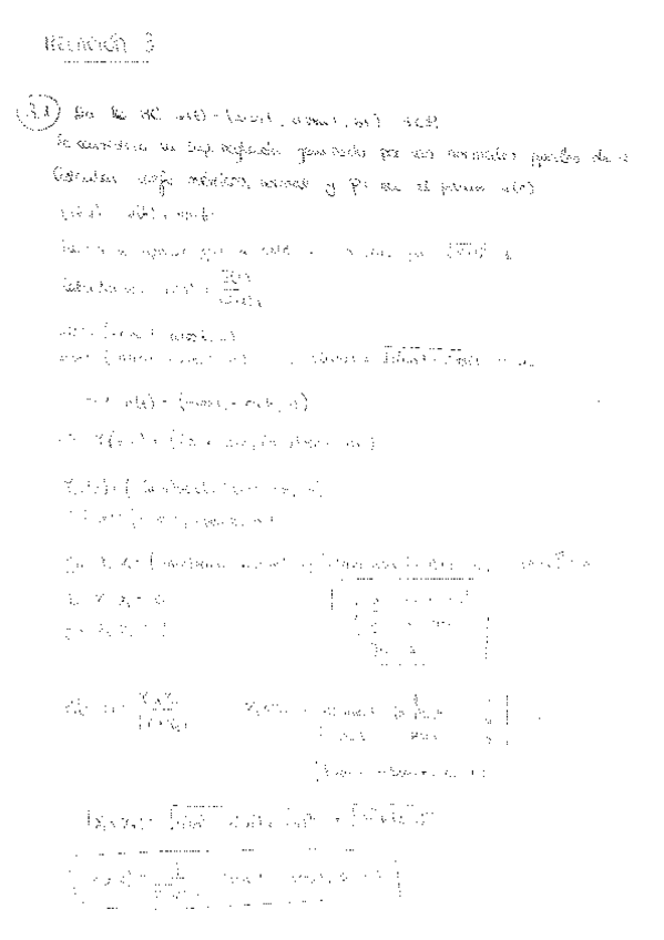
He publicado nuevos ejercicios de 3º Geometría Local de Curvas y Superficies: Relación 2.pdf

14 páginas