@mates_us

47 Publicaciones

2.85k Interacciones

2 Seguidores

0 Siguiendo

Lista de publicaciones de mates_us

apuntes

-

Demostraciones MIOP Completo

He publicado nuevos apuntes de 4º Modelos de la Investigación Operativa: Demostraciones MIOP Completo

Demostraciones-MIOP-Completo-I.pdf
Demostraciones-MIOP-Completo-II.pdf

He publicado nuevos examenes de 4º Modelos de la Investigación Operativa: Prefinal-MIOP-2021-22.pdf

3 páginas

He publicado nuevos ejercicios de 4º Geometría Aplicada: Problemas-Teoricos-GAP-2021-22.pdf

1 página

He publicado nuevos examenes de 4º Geometría Aplicada: Parcial-1-GAP-2021-22.pdf

1 página

He publicado nuevos apuntes de 4º Ciencias de la Computación: Repaso-Teorico-CC-Temas-1-2-3-4.pdf

4 páginas

He publicado nuevos examenes de 4º Ciencias de la Computación: segundo-parcial-CC-13-01-2022.pdf

2 páginas

He publicado nuevos examenes de 4º Análisis de Datos Multivariantes: parcial2adm2122.pdf

2 páginas

He publicado nuevos apuntes de 4º Álgebra, Combinatoria y Computación: 20220518-1423-Office-Lens.pdf

2 páginas

He publicado nuevos examenes de 4º Análisis de Datos Multivariantes: 20220504-1149-Office-Lens.pdf

2 páginas

He publicado nuevos examenes de 1º Apuntes Variados: ExamenMatematicasIIMarketing.pdf

11 páginas

practicas

-

Práctica Obligatoria MIOP

He publicado nuevos practicas de 4º Modelos de la Investigación Operativa: Práctica Obligatoria MIOP

Miniatura no disponible
trabajo.mod
PracticaObligatoriaMIOP.pdf
Practica-obligatoria.pdf

He publicado nuevos trabajos de 4º Ciencias de la Computación: Trabajo-CC-Funciones-primitivas-recursivas-sobre-cadenas.pdf

16 páginas

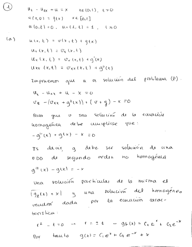
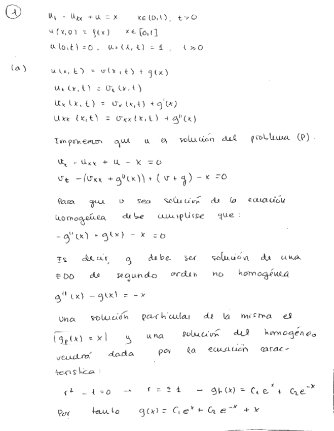
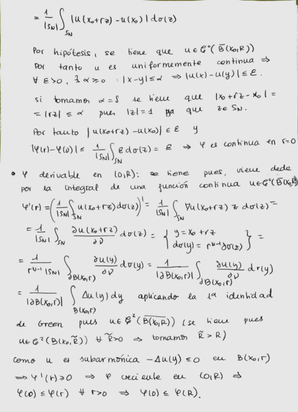
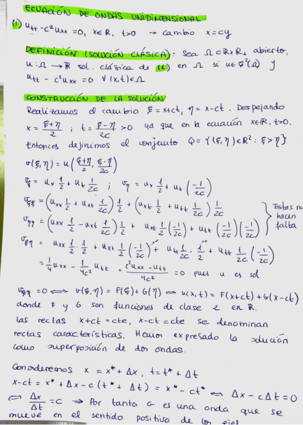
He publicado nuevos apuntes de 4º Ecuaciones en Derivadas Parciales: Teoria-Tema-5-EDP-con-Demostraciones.pdf

14 páginas

He publicado nuevos apuntes de 4º Ecuaciones en Derivadas Parciales: Teoria-Tema-4-EDP-con-Demostraciones.pdf

5 páginas

He publicado nuevos ejercicios de 4º Ciencias de la Computación: EJERCICIOS-1-2-3-CC-TEMA-8.pdf

1 página

He publicado nuevos examenes de 4º Ecuaciones en Derivadas Parciales: Parcial-1-EDP-202122-Resuelto.pdf

19 páginas

apuntes

-

Teoría Inferencia Con Demostraciones

He publicado nuevos apuntes de 3º Inferencia Estadística: Teoría Inferencia Con Demostraciones

Teoria-Inferencia-Con-Demostraciones-Parte-1-Version-Extendida.pdf
Teoria-Inferencia-Con-Demostraciones-Parte-2-Version-Extendida.pdf
Teoria-Inferencia-con-Demostraciones-Version-Corta.pdf

He publicado nuevos apuntes de 4º Ecuaciones en Derivadas Parciales: 20211213-2331-Office-Lens.pdf

14 páginas

He publicado nuevos examenes de 4º Ciencias de la Computación: 20211213-2120-Office-Lens.pdf

9 páginas

He publicado nuevos examenes de 4º Ciencias de la Computación: Parcial1CC201819.pdf

8 páginas