@matesuni

124 Publicaciones

2.18k Interacciones

0 Seguidores

0 Siguiendo

Lista de publicaciones de matesuni

ejercicios

-

ejercicios resueltos azagra

He publicado nuevos ejercicios de 3º Análisis de Funciones de Variable Compleja: ejercicios resueltos azagra

ejercicios-resueltos-tema-1-Azagra.pdf
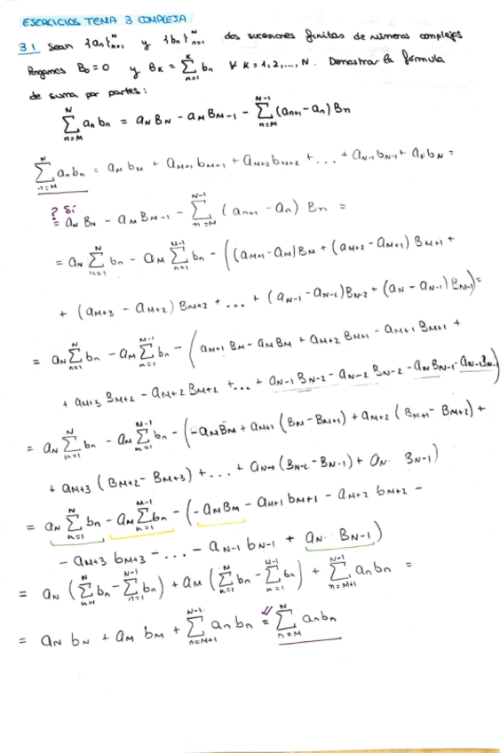
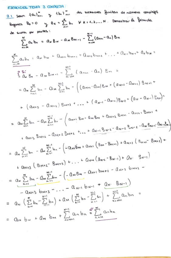
ejercicios-resueltos-tema-3-Azagra.pdf
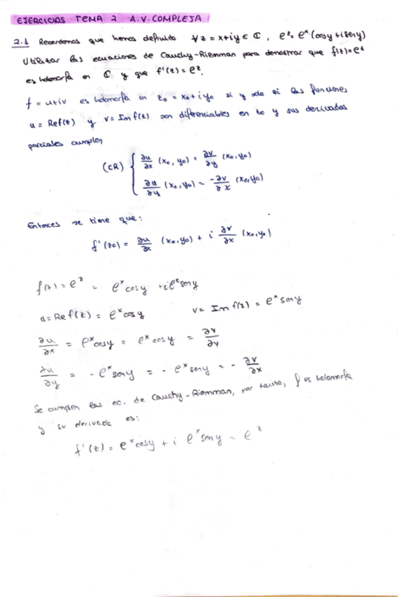
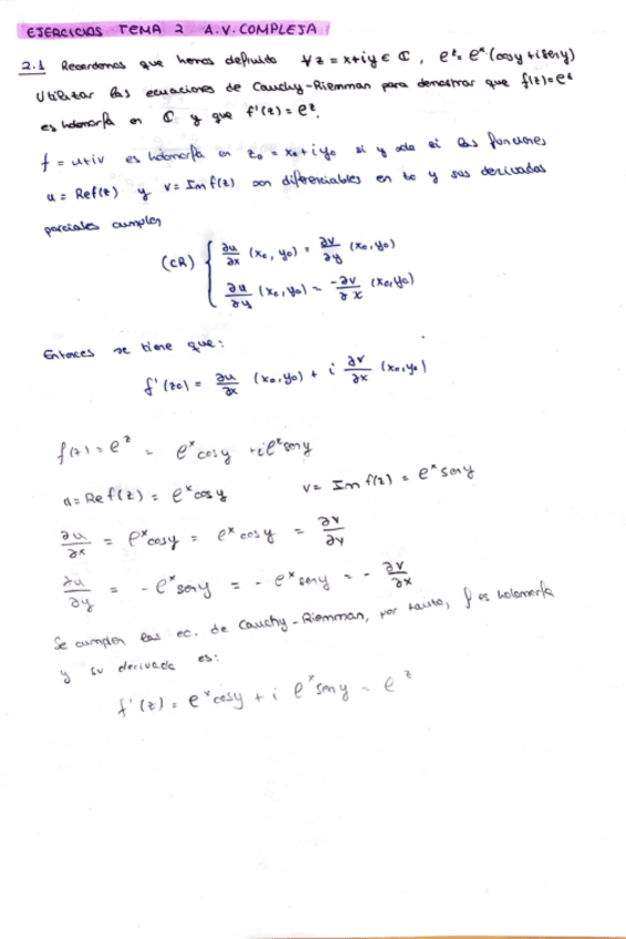
ejercicios-resueltos-tema-2-Azagra.pdf
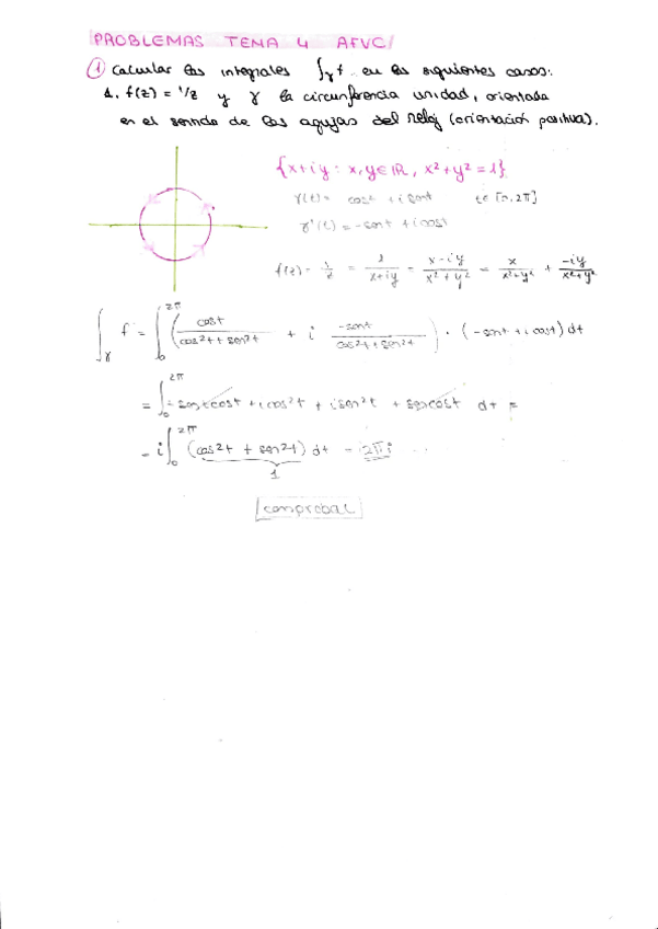
tema-4-Azagra.pdf
tema-8-azagra.pdf
tema-9-azagra.pdf

ejercicios

-

ejercicios con explicaciones spss y R

He publicado nuevos ejercicios de 3º Modelos Estadísticos: ejercicios con explicaciones spss y R

PracticaFactorialEjercicio4.sav
PracticaFactorialEjercicio5.sav
Ejercicio-modelos.docx
Miniatura no disponible
PracticaFactorialEjercicio3.sav
Miniatura no disponible
PracticaFactorialEjercicio2.sav
Miniatura no disponible
Ejercicio-modelos.sav

ejercicios

-

ejercicios con explicación

He publicado nuevos ejercicios de 3º Modelos Estadísticos: ejercicios con explicación

diseno-unifactorial-ej4.sav
Miniatura no disponible
diseno-unifactorial-ej7.sav
Miniatura no disponible
Datos-Idoneidad-del-modelo.sav
practica-ideneidad-del-modelo.docx
diseno-unifactorial-ej3.sav
diseno-unifactorial-ej1.sav

ejercicios

-

ejercicios resueltos Julián

He publicado nuevos ejercicios de 3º Ecuaciones Diferenciales: ejercicios resueltos Julián

ejercicios-resueltos-Julian.pdf
examenes-resueltos-julian.pdf

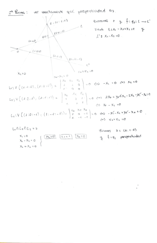
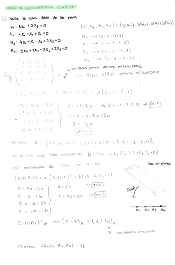
He publicado nuevos apuntes de 2º Geometría Lineal: hoja-recta-proyectiva-giraldo-resuelta.pdf

14 páginas

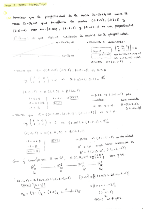
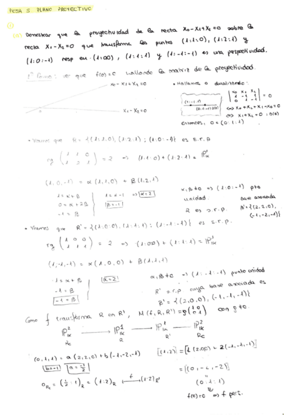
He publicado nuevos apuntes de 2º Geometría Lineal: hoja-plano-proyectivo-resuelta.pdf

7 páginas

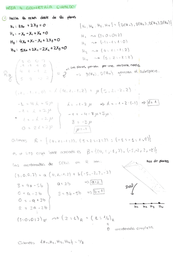
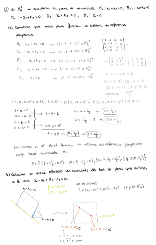
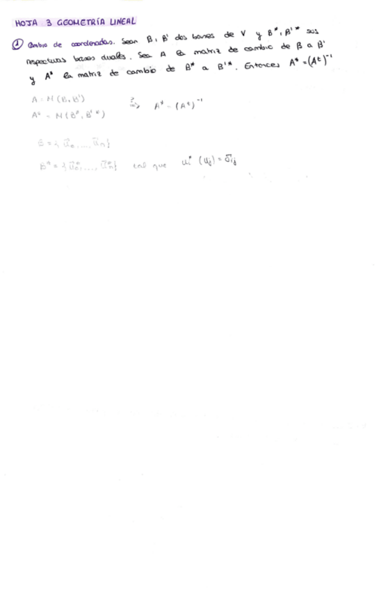
He publicado nuevos apuntes de 2º Geometría Lineal: hoja-dualidad-resuelta-giraldo.pdf

10 páginas

He publicado nuevos examenes de 2º Geometría Lineal: parciales-diciembre-Giraldo-resueltos.pdf

9 páginas

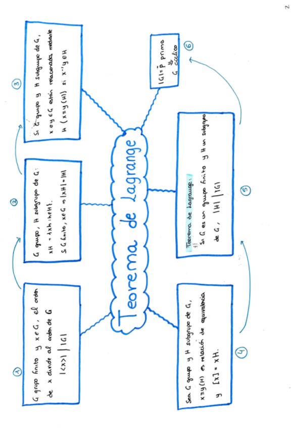
He publicado nuevos apuntes de 2º Estructuras Algebraicas: esquemas-grupos.pdf

7 páginas