@mmmm49

20 Publicaciones

2.35k Interacciones

2 Seguidores

0 Siguiendo

Lista de publicaciones de mmmm49

He publicado nuevos examenes de 4º Fisiología y Bioquímica Clínicas: FISIOLOGIA CLÍNICA.pdf

11 páginas

He publicado nuevos examenes de 4º Fisiología y Bioquímica Clínicas: preguntas frecuentes.pdf

1 página

He publicado nuevos examenes de 1º Bioquímica Estructural: preguntas bioquimica-1.pdf

1 página

examenes

-

PREGUNTAS RESUELTAS BIOTEC (MICRO)

He publicado nuevos examenes de 3º Biotecnología: PREGUNTAS RESUELTAS BIOTEC (MICRO)

PREGUNTAS BIOTECNOLOGIA PARTE 2.pdf
PREGUNTAS BIOTECNOLOGIA PARTE 1.pdf

He publicado nuevos examenes de 1º Bioquímica Estructural: preguntas bioquimica.docx

word

ejercicios

-

Ejercicios Formulacion Resueltos

He publicado nuevos ejercicios de 3º Química Farmacéutica I: Ejercicios Formulacion Resueltos

SOLUCION EJERCICIOS DE FORMULACI__N 1.pdf
EJERCICIOS DE FORMULACION 2.pdf
SOLUCION EJERCICIOS FORMULACION 2.pdf

He publicado nuevos examenes de 4º Atención Farmacéutica: Preguntas del examen.docx

word

He publicado nuevos examenes de 1º Bioquímica Estructural: PREGUNTAS FRECUENTES EN LOS EXAMENES TEMAS 1 A 21.pdf

4 páginas

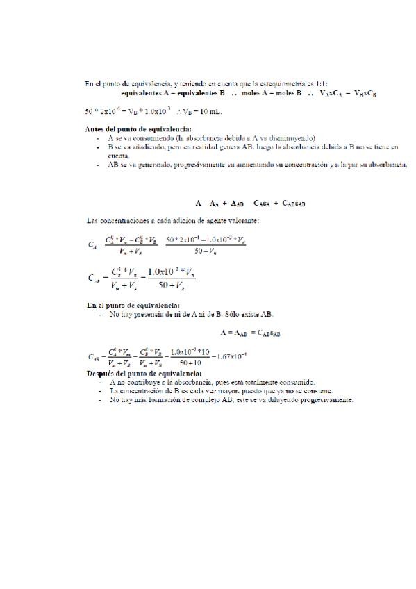
He publicado nuevos apuntes de 1º Técnicas Instrumentales: AYUDA PROBLEMA 6 TEMA 42012-2013.pdf

2 páginas

He publicado nuevos examenes de 1º Técnicas Instrumentales: Examen febrero.pdf

4 páginas

He publicado nuevos apuntes de 1º Técnicas Instrumentales: solucion ejercicios tema 4 2012-2013.pdf

11 páginas

He publicado nuevos apuntes de 1º Técnicas Instrumentales: espectros ir resueltos.pdf

12 páginas