@mmsat

63.10 € • 29.34k EXP

93 Publicaciones

6.43k Interacciones

9 Seguidores

0 Siguiendo

Lista de publicaciones de mmsat

examenes

-

Exámenes resueltos

He publicado nuevos examenes de 4º Curvas algebráicas: Exámenes resueltos

Curvas-A.pdf
Curvas-A.pdf
Curvas-A.pdf
Curvas-A.pdf
Curvas-A.pdf
Curvas-A.pdf

He publicado nuevos ejercicios de 4º Teoría de la Medida: ejercicios-resueltos-TMED.pdf

14 páginas

examenes

-

EXÁMENES RESUELTOS

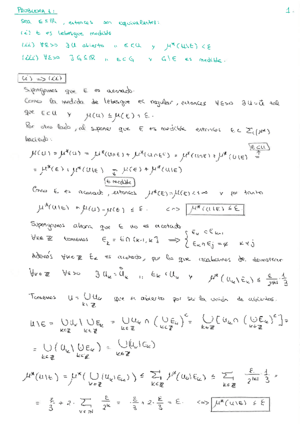
He publicado nuevos examenes de 4º Teoría de la Medida: EXÁMENES RESUELTOS

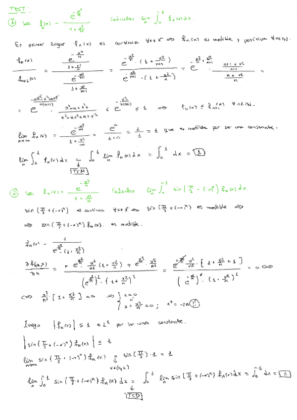
TMED-TEST-2.pdf
TMED-septiembre-2020.pdf
TMED-enero2020.pdf
TMED-TEST-1.pdf
TMED-examen-parcial.pdf

He publicado nuevos ejercicios de 4º Análisis Funcional: A.pdf

12 páginas

examenes

-

EXÁMENES RESUELTOS

He publicado nuevos examenes de 4º Análisis Funcional: EXÁMENES RESUELTOS

A.pdf
A.pdf
A.pdf
A.pdf

examenes

-

EXAMENES RESUELTOS

He publicado nuevos examenes de 4º Teoría Clásica de Ecuaciones en Derivadas Parciales: EXAMENES RESUELTOS

TCEDP-septiembre2013.pdf
TCEDP-enero2020.pdf
TCEDPT-parcial2019.pdf
TCEPT-febrero2014.pdf
TCEDP-septiembre2014.pdf
TCECP-febrero2013.pdf

examenes

-

EXÁMENES RESUELTOS (SOLO PROBLEMAS)

He publicado nuevos examenes de 4º Análisis Complejo: EXÁMENES RESUELTOS (SOLO PROBLEMAS)

examen-A.pdf
examen-A.pdf

He publicado nuevos examenes de 4º Topología Algebraica: examen-junio-2019-topologia-algebraica.pdf

10 páginas

He publicado nuevos examenes de 4º Topología Algebraica: examen-enero-2019-topologia-algebraica.pdf

8 páginas

ejercicios

-

EJERCICIOS VOLUNTARIOS RESUELTOS

He publicado nuevos ejercicios de 3º Geometría Diferencial de Curvas y Superficies: EJERCICIOS VOLUNTARIOS RESUELTOS

TRABAJO-HOJA-2.pdf
Trabajo-hoja-5.pdf
TRABAJO-HOJA-3.pdf
Trabajo-hoja-6.pdf

ejercicios

-

EJERCICIOS RESUELTOS

He publicado nuevos ejercicios de 3º Geometría Diferencial de Curvas y Superficies: EJERCICIOS RESUELTOS

PROBLEMAS-GEOMETRIA-DIFERENCIA-DE-CURVAS-Y-SUPERFICIES-HOJA-4.pdf
PROBLEMAS-GEOMETRIA-DIFERENCIA-DE-CURVAS-Y-SUPERFICIES-HOJA-7.pdf
PROBLEMAS-GEOMETRIA-DIFERENCIA-DE-CURVAS-Y-SUPERFICIES-HOJA-1.pdf
PROBLEMAS-GEOMETRIA-DIFERENCIA-DE-CURVAS-Y-SUPERFICIES-HOJA-10.pdf
PROBLEMAS-GEOMETRIA-DIFERENCIA-DE-CURVAS-Y-SUPERFICIES-HOJA-6.pdf
PROBLEMAS-GEOMETRIA-DIFERENCIA-DE-CURVAS-Y-SUPERFICIES-HOJA-8.pdf