@naturdiet

43 Publicaciones

2.79k Interacciones

1 Seguidores

4 Siguiendo

Lista de publicaciones de naturdiet

He publicado nuevos apuntes de 2º Química de los Alimentos: TUTORIA-QUIMICA-DE-LOS-ALIMENTOS-DICIEMBRE.pdf

5 páginas

He publicado nuevos examenes de 3º Salud Pública: Salud-publica-final-junio-2023.pdf

1 página

He publicado nuevos apuntes de 3º Patología Nutricional: Patologia-test-1o-conv.pdf

1 página

He publicado nuevos apuntes de 3º Economía y Empresa: Economia-y-empresa-Examen-1o-convocatoria-2023.pdf

1 página

He publicado nuevos examenes de 3º Dietoterapia: Examen-1o-convocatoria-2023.pdf

1 página

He publicado nuevos examenes de 1º Microbiologia Alimentaria: examen-tipo-test.pdf

5 páginas

He publicado nuevos examenes de 1º Bioquímica I: Cuestionarios-Bioquimica-I-2021.pdf

11 páginas

apuntes

-

soluciones preguntas

He publicado nuevos apuntes de 1º Química General: soluciones preguntas

Resolucion-de-las-cuestiones-del-Tema-1Sam.pdf
SamsolucionariocuestionesTema3.pdf
solucionario-cuestiones-Tema4.pdf
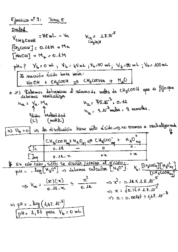
solucionario-Tema-5-ejercicio-9.pdf
solucionario-Tema-5-menos-ejercicio-9.pdf
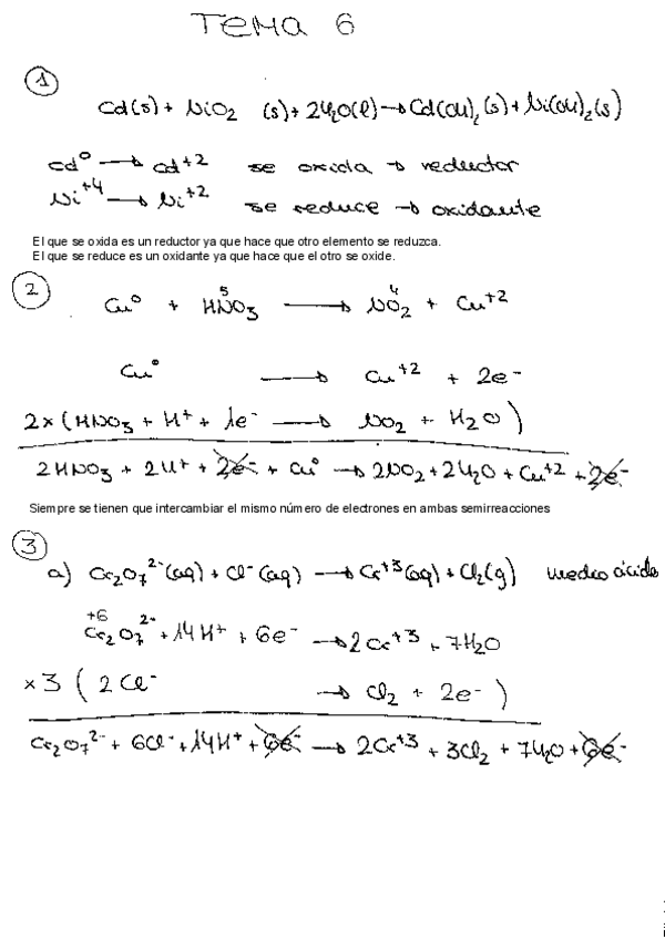
SolucionarioTema-6.pdf

test

-

Tutoria diciembre 2020

He publicado nuevos test de 1º Química General: Tutoria diciembre 2020

Tutoria-diciembre-2020.pdf
Tutoria-octubreSam.pdf

He publicado nuevos practicas de 1º Biología General: solucion-practica-2.pdf

12 páginas

He publicado nuevos practicas de 1º Biología General: solucion-practica-4.pdf

5 páginas

atlas

Alguien puesde subir atlas de dietetica 2, gracias

He publicado nuevos examenes de 1º Física: Exam-19GNHD1a04publico.pdf

2 páginas

He publicado nuevos examenes de 1º Química Orgánica: examen-resuelto.pdf

6 páginas

examenes

-

examenes modelo

He publicado nuevos examenes de 1º Química Orgánica: examenes modelo

prueba-1.pdf
prueba2.pdf

examenes

-

posibles preguntas para examenes

He publicado nuevos examenes de 1º Biología General: posibles preguntas para examenes

Posibles-preguntas-para-exam-2021-tutoria-noviembre.pdf
Posible-preguntas-para-exam-2021-diciembre.pdf

Begoña Renau MorataForo tambien hay solucion de practica 3

5 páginas

Begoña Renau MorataForo solucion practica de histologia

12 páginas