@nmmates

Estudios: Grado en Matemáticas (US) ...Mostrar más

529 Publicaciones

11.89k Interacciones

18 Seguidores

7 Siguiendo

Lista de publicaciones de nmmates

He publicado nuevos apuntes de 2º Teoría de la Probabilidad: TPCurso1819_ENUN(1).pdf

20 páginas

He publicado nuevos apuntes de 3º Lógica Matemática y Fundamentos: ejercicios-LMF-2018-19.pdf

47 páginas

apuntes

-

Diapositivas del primer parcial

He publicado nuevos apuntes de 3º Lógica Matemática y Fundamentos: Diapositivas del primer parcial

tema-1.pdf
tema-4.pdf
tema-8.pdf
tema-2.pdf
tema-3.pdf

examenes

-

Exámenes primer parcial 2018-2019

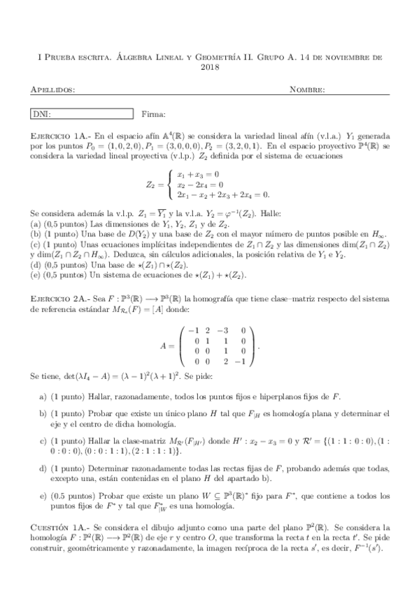
He publicado nuevos examenes de 2º Álgebra Lineal y Geometría II: Exámenes primer parcial 2018-2019

I-prueba-escrita-alygII-C-12nov-2018-sol.pdf
I-prueba-escrita-alygII-A-14nov-2018.pdf
Sol-I-prueba-escrita-alygII-Gr-B-12-11-18-modelo1.pdf
I-prueba-escrita-alygII-C-12-12-14nov-2018.pdf

He publicado nuevos apuntes de 2º Álgebra Lineal y Geometría II: ALyGII-teoriaT3-18-19.pdf

20 páginas

ejercicios

-

Ejercicios resuelto de combinatoria

He publicado nuevos ejercicios de 2º Elementos de Probabilidad y Estadística: Ejercicios resuelto de combinatoria

Ejercicios_Resueltos_Combinatoria.pdf
Ejercicios_resueltos.pdf

examenes

-

Exámenes con solución primeros parciales 2018-2019

He publicado nuevos examenes de 1º Algebra Básica: Exámenes con solución primeros parciales 2018-2019

examen-01-grupo-B-solución.pdf

examenes

-

Exámenes 2016-2027

He publicado nuevos examenes de 2º Álgebra Lineal y Geometría II: Exámenes 2016-2027

2ndo parcial grupo C.pdf
Final enero.pdf
Diciembre.pdf
1er parcial grupo B.pdf
Final febrero.pdf
1er parcial grupo C.pdf

He publicado nuevos ejercicios de 2º Álgebra Lineal y Geometría II: solEj23-24-25-Rel1-AlyGII-2018-19.pdf

1 página

He publicado nuevos ejercicios de 2º Álgebra Lineal y Geometría II: solEj17-Rel1-AlyGII-2018-19.pdf

2 páginas

He publicado nuevos ejercicios de 2º Álgebra Lineal y Geometría II: Ejercicio16Rel1(1).pdf

2 páginas

He publicado nuevos ejercicios de 2º Álgebra Lineal y Geometría II: solEjs12-22-Rel1-AlyGII-2018-19.pdf

2 páginas

He publicado nuevos apuntes de 2º Álgebra Lineal y Geometría II: ALyGII-teoriaT1-18-19.pdf

23 páginas

He publicado nuevos ejercicios de 2º Álgebra Lineal y Geometría II: solEj15-Rel1-AlyGII-2018-19.pdf

1 página

He publicado nuevos apuntes de 2º Álgebra Lineal y Geometría II: ALyGII-teoriaT2-18-19.pdf

22 páginas

examenes

-

Colección de exámenes

He publicado nuevos examenes de 2º Álgebra Lineal y Geometría II: Colección de exámenes

Febrero 12 13.pdf
ExamenFinal-alygII-26-01-15.pdf
ExamenSeptiembre-alygII-2015.pdf
ExamenFinal-alygII-26-01-15-ejercicio-complementario.pdf
prueba-escritaGA-alygII-07-01-15.pdf
sol-prueba-escritaGA-alygII-07-01-15.pdf

examenes

-

Colección de exámenes 2011-2018

He publicado nuevos examenes de 3º Ampliación de Ecuaciones Diferenciales: Colección de exámenes 2011-2018

AEDSegundoParcial16-17.pdf
2ndo parcial 2.pdf
1er parcial 2.pdf
1er parcial grupo A.pdf
1er parcial.pdf
2ndo parcial 2.pdf