@pepelluba

Estudios: Grado en Matemáticas (US) ...Mostrar más

Bio: ig: pepelluba

28 Publicaciones

949 Interacciones

4 Seguidores

1 Siguiendo

Lista de publicaciones de pepelluba

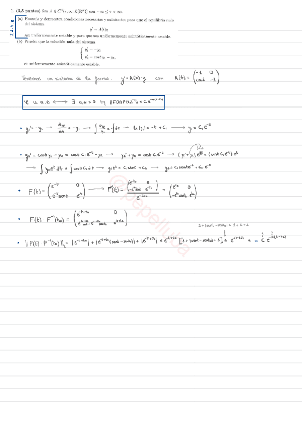
He publicado nuevos examenes de 3º Geometría y Topología de Superficies: Segunda-Convocatoria-Resuelto-Geometria-24-25.pdf

2 páginas

He publicado nuevos examenes de 3º Geometría y Topología de Superficies: Primera-Convocatoria-Resuelto-Geometria-24-25.pdf

2 páginas

El primer parcial del grupo 2 del año 2025 resuelto.

2 páginas

Ejercicio 2 del examen de Inma de 2024/25 resuelto en detalle

3 páginas

La Enciclopedia Definitiva de R para Inferencia Estadística

12 páginas

Todos los ejercicios de R resueltos con anotaciones

19 páginas

Todas las definiciones de los temas 1, 2 y 3 (con anotaciones).

4 páginas

Primer parcial resuelto 2024 (Grupo 1)

6 páginas

He publicado nuevos examenes de 3º Geometría Local de Curvas y Superficies: Primer-Parcial-Corregido-20242025.pdf

1 página

Segundo parcial de 2024 resuelto

6 páginas

Primer parcial resuelto 2024 (Grupo C)

15 páginas

Primer Parcial Grupo D (2024) Resuelto

4 páginas

Primer Parcial de 2022 solucionado (por mi)

7 páginas

Primer Parcial del Grupo 1 (de 2021) resuelto

7 páginas

Todas las demos del Tema 1

7 páginas

Apuntes completos en formato Latex

18 páginas

Un breve resumen de conceptos de los temas 1-6 (del primer parcial), cursado con Luis Bernal

6 páginas

277 páginas de exámenes para que no te aburras

277 páginas

He publicado nuevos apuntes de Inglés: Phrasal-Verbs-and-Idioms-PEVAU.pdf

10 páginas

He publicado nuevos apuntes de Historia de España: PREGUNTA-5-SIGLO-XIX.pdf

3 páginas