@reylucia

157 Publicaciones

2.48k Interacciones

2 Seguidores

0 Siguiendo

Lista de publicaciones de reylucia

apuntes

-

EDOS

He publicado nuevos apuntes de 2º Elementos de Ecuaciones Diferenciales Ordinarias: EDOS

EDOS-1.1.pdf
EDOS-1.2.pdf
EDOS-1.3.pdf
EDOS-2.1-2.2-2.3.pdf
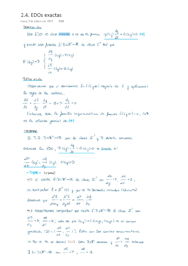
EDOS-2.4.pdf
EDOS-2.5.pdf

ejercicios

-

Resueltos Proba

He publicado nuevos ejercicios de 2º Probabilidad: Resueltos Proba

P-E0SOL.pdf
P-E0.pdf
P-E1SOL.pdf
P-E1.pdf
P-E2SOL.pdf
P-E2.pdf

examenes

-

Controles MN

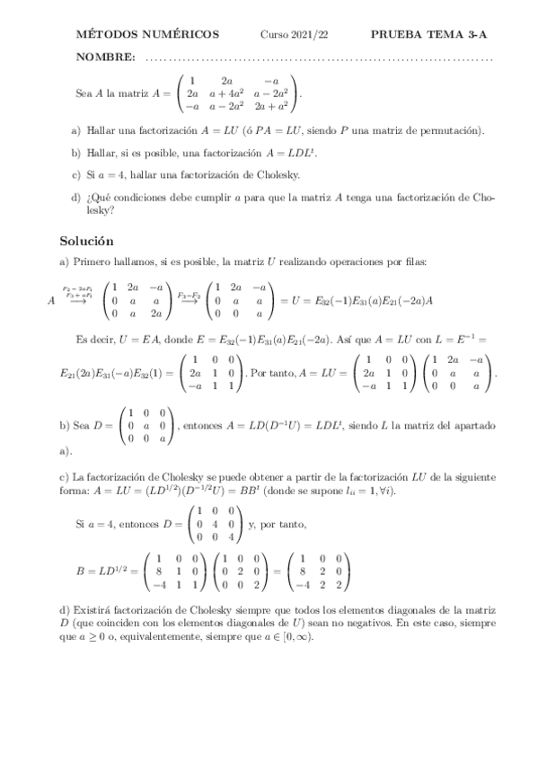
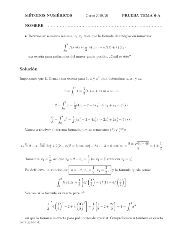
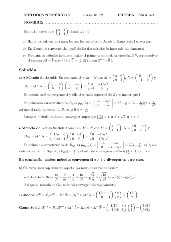
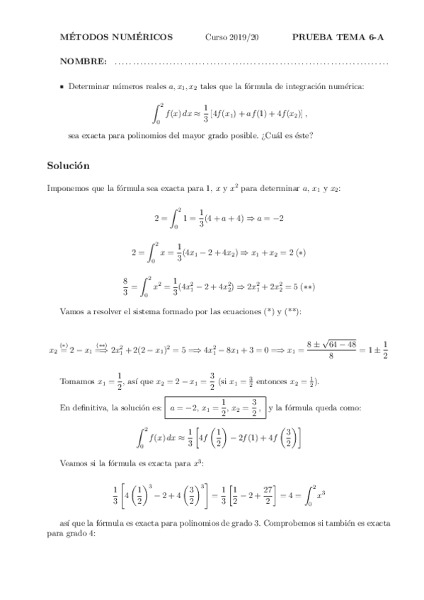
He publicado nuevos examenes de 2º Métodos Numéricos: Controles MN

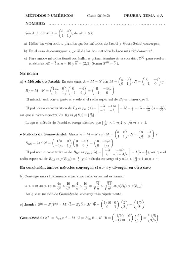
2018entregaMN-tema4-resuelta.pdf
2019entregaMN-tema6-resuelta.pdf
2019-entrega-MN-tema4-resuelta.pdf
MN-curso-2021-22-prueba-tema-3.pdf