@saineto

59 Publicaciones

2.13k Interacciones

0 Seguidores

0 Siguiendo

Lista de publicaciones de saineto

He publicado nuevos examenes de 4º Farmacognosia: Ejercicios TeRPENOS.pdf

2 páginas

He publicado nuevos ejercicios de 4º Farmacología y Farmacoterapia II: Seminario 2 completo.pdf

4 páginas

He publicado nuevos ejercicios de 4º Farmacología y Farmacoterapia II: Seminario 4 completo.pdf

3 páginas

apuntes

-

Laminas

He publicado nuevos apuntes de 2º Parasitología Alimentaria: Laminas

PRACTICA 1 GRADO LAMINAS PROTOZOOS.pdf
PRACTICA 2 GRADO LAMINAS ARTRÓPODOS HEMATICOS.pdf
PRACTICA 3 GRADO (LÁMINAS NEMATODOS).pdf
PRACTICA 4 GRADO LÁMINAS CESTODOS Y DIGENIDOS).pdf

apuntes

-

Laminas

He publicado nuevos apuntes de 2º Parasitología: Laminas

PRACTICA 1 GRADO LAMINAS PROTOZOOS.pdf
PRACTICA 2 GRADO LAMINAS ARTRÓPODOS HEMATICOS.pdf
PRACTICA 3 GRADO (LÁMINAS NEMATODOS).pdf
PRACTICA 4 GRADO LÁMINAS CESTODOS Y DIGENIDOS).pdf

examenes

-

Ejercicios de Examenes-soluciones

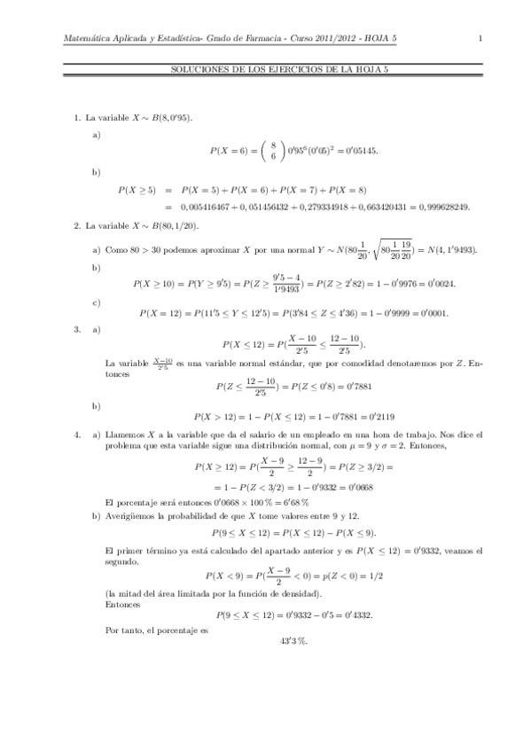
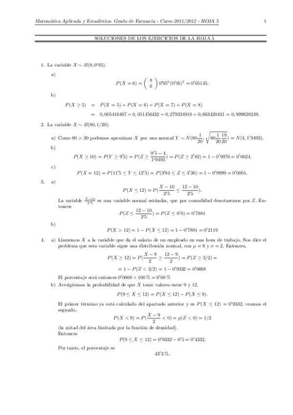
He publicado nuevos examenes de 1º Estadística: Ejercicios de Examenes-soluciones

solhoja3-11-12.pdf
solhoja4-11-12.pdf
solucs_hojapbs5-11-12.pdf

apuntes

-

Ejercicios de Examenes-soluciones

He publicado nuevos apuntes de 1º Tecnicas Matematicas y Operacionales: Ejercicios de Examenes-soluciones

HOJA1.pdf
Hoja2.pdf
HOJA3.pdf

examenes

-

Ejercicios de Examenes

He publicado nuevos examenes de 1º Matemática Aplicada y Estadística: Ejercicios de Examenes

HOJA1.pdf
Hoja2.pdf
HOJA3.pdf

examenes

-

Ejercicios de Examenes-soluciones

He publicado nuevos examenes de 1º Matemática Aplicada y Estadística: Ejercicios de Examenes-soluciones

solhoja3-11-12.pdf
solhoja4-11-12.pdf
solucs_hojapbs5-11-12.pdf

ejercicios

-

Ejercicios Solucionados

He publicado nuevos ejercicios de 1º Bioquímica y Biología Molecular I: Ejercicios Solucionados

problemas resueltos serie I.pdf
problemas resueltos serie II.pdf

He publicado nuevos examenes de 3º Fisiopatología: Esquemas T1 T2 T3 Y T4 2013-14.pdf

20 páginas

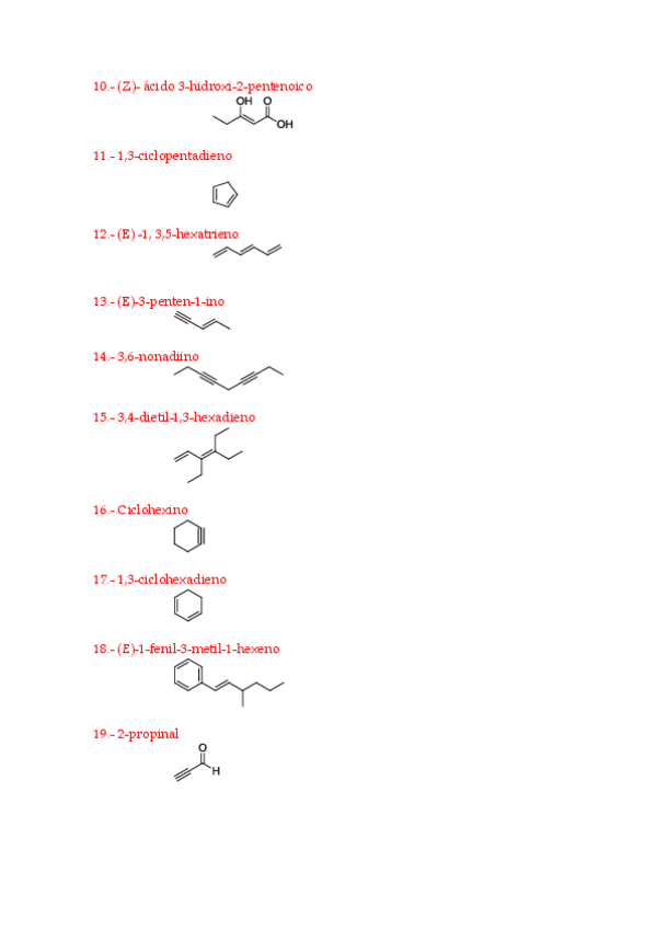
He publicado nuevos ejercicios de 1º Química Orgánica I: FORMULACION.pdf

4 páginas

apuntes

-

Resumenes

He publicado nuevos apuntes de 2º Parasitología: Resumenes

CUADERNO PRACTICA 1 PARASITOLOGIA GRADO (PROTOZOOS).pdf
CUADERNO PRACTICA 2 PARASITOLOGIA GRADO (ARTRÓPODOS).pdf
CUADERNO PRACTICA 3 GRADO (NEMATODOS).pdf
CUADERNO PRACTICA 4 PARASITOLOGIA GRADO (PLATELMINTOS).pdf

apuntes

-

Resumenes

He publicado nuevos apuntes de 2º Parasitología Alimentaria: Resumenes

CUADERNO PRACTICA 1 PARASITOLOGIA GRADO (PROTOZOOS).pdf
CUADERNO PRACTICA 2 PARASITOLOGIA GRADO (ARTRÓPODOS).pdf
CUADERNO PRACTICA 3 GRADO (NEMATODOS).pdf
CUADERNO PRACTICA 4 PARASITOLOGIA GRADO (PLATELMINTOS).pdf

examenes

-

Preguntas Examen Tipo Test

He publicado nuevos examenes de 5º Seguridad Alimentaria: Riesgos Tóxicos y Prevención: Preguntas Examen Tipo Test

Preguntas12-13 aditivos.pdf
Preguntas clase Ana.pdf
Preguntas12-13 Intro y CB.pdf
Preguntas12-13 metales.pdf
Preguntas12-13 micotoxinas.pdf

He publicado nuevos apuntes de 1º Química Orgánica I: Clasificación Sustituyentes en Reacciones de SArE tabla.pdf

1 página

He publicado nuevos apuntes de 1º Matemática Aplicada y Estadística: Manual Básico.pdf

34 páginas

He publicado nuevos apuntes de 4º Fauna y Salud: QUE HAY QUE SABER EN LAS PRÁCTICAS.pdf

2 páginas

He publicado nuevos practicas de 4º Fauna y Salud: QUE HAY QUE SABER EN LAS PRÁCTICAS.pdf

2 páginas

apuntes

-

Ejercicios de Examenes-soluciones

He publicado nuevos apuntes de 1º Tecnicas Matematicas y Operacionales: Ejercicios de Examenes-soluciones

solhoja3-11-12.pdf
solhoja4-11-12.pdf
solucs_hojapbs5-11-12.pdf