@user280905

58 Publicaciones

401 Interacciones

7 Seguidores

0 Siguiendo

Lista de publicaciones de user280905

apuntes

-

Apuntes Eva Gallardo

He publicado nuevos apuntes de 3º Análisis de Funciones de Variable Compleja: Apuntes Eva Gallardo

T1-complejos.pdf
T2-Derivacion-en-C.pdf
T3-Funciones-de-potencias.pdf
T4-integracion-sobre-curvas.pdf
T5-singularidades-Laurent.pdf
T6-funcs-meromorfas-Tma-residuos.pdf

apuntes

-

Apuntes Álvaro Martinez

He publicado nuevos apuntes de 3º Geometría Diferencial de Curvas y Superficies: Apuntes Álvaro Martinez

T1-Curvas.pdf
T2-Superficies.pdf
T3-Primera-y-segunda-fma-fund.pdf
T4-curvatura.pdf

apuntes

-

Apuntes Yago

He publicado nuevos apuntes de 2º Estructuras Algebraicas: Apuntes Yago

EA-T1-grupo-sime.pdf
EA-T2-Z.pdf
EA-T3-acciones.pdf
EA-T4-subg-normales-y-cociente.pdf

He publicado nuevos examenes de 3º Ecuaciones Diferenciales: parcial-2-edif.pdf

2 páginas

He publicado nuevos examenes de 3º Ecuaciones Diferenciales: parcial2-edif.pdf

2 páginas

He publicado nuevos examenes de 3º Ecuaciones Diferenciales: Parcial-edif-2024-tema-2.pdf

3 páginas

apuntes

-

Apuntes Miguel García

He publicado nuevos apuntes de 3º Ecuaciones Diferenciales: Apuntes Miguel García

edifT0.pdf
EDIFT1-Tas-exist-y-unic.pdf
EDIFT2-Estabilidad-de-sols.pdf

ejercicios

-

ejercicios resueltos yago

He publicado nuevos ejercicios de 2º Estructuras Algebraicas: ejercicios resueltos yago

Hoja-2-ea.pdf

examenes

-

exámenes palazuelos resueltos

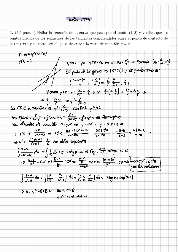
He publicado nuevos examenes de 2º Elementos de Ecuaciones Diferenciales Ordinarias: exámenes palazuelos resueltos

Julio-23-EDO.pdf
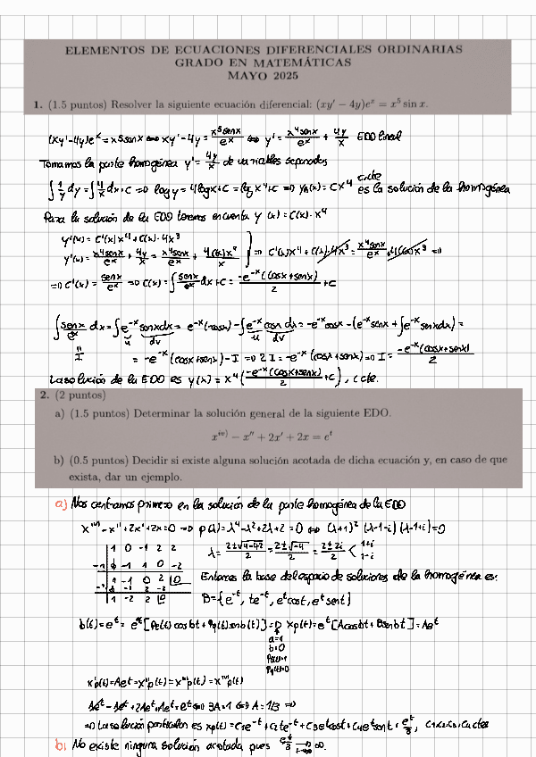
edo-mayo-25.pdf

He publicado nuevos examenes de 2º Cálculo Integral: CI-mayo-25-resuelto.pdf

5 páginas

He publicado nuevos examenes de 2º Estadística: mayo-25-resuelto-est.pdf

5 páginas

He publicado nuevos apuntes de 2º Cálculo Integral: T5-CI-Int-linea-y-superficie.pdf

8 páginas

He publicado nuevos apuntes de 2º Elementos de Ecuaciones Diferenciales Ordinarias: T6-EDO-Transformada-Laplace.pdf

4 páginas

He publicado nuevos apuntes de 2º Elementos de Ecuaciones Diferenciales Ordinarias: t5-Teoria-cualitativa-EDOs.pdf

4 páginas

He publicado nuevos apuntes de 2º Estadística: T6-est-Contraste-de-hipotesis.pdf

4 páginas

He publicado nuevos apuntes de 2º Física: Mecánica y Ondas: T6-F-Mecanica-analitica.pdf

7 páginas

He publicado nuevos apuntes de 2º Estadística: T5-est-intervalos-confianza.pdf

3 páginas

He publicado nuevos apuntes de 2º Física: Mecánica y Ondas: t5-F-Rot-solido-EcEuler.pdf

6 páginas

He publicado nuevos apuntes de 2º Física: Mecánica y Ondas: T4-F-Trabajo-y-energia.pdf

12 páginas

He publicado nuevos apuntes de 2º Cálculo Integral: T4-CI-Integrales-multiples.pdf

5 páginas