@yoxbox

852 Publicaciones

12.96k Interacciones

8 Seguidores

0 Siguiendo

Lista de publicaciones de yoxbox

apuntes

-

EJERCICIOS PARCIAL FREEFEM 2023

He publicado nuevos apuntes de 4º Complementos de Modelización y Optimización Numérica: EJERCICIOS PARCIAL FREEFEM 2023

Adaptacion-de-mallados-Ejemplo-1.pdf
Adaptacion-de-mallados-Ejemplo-2.pdf
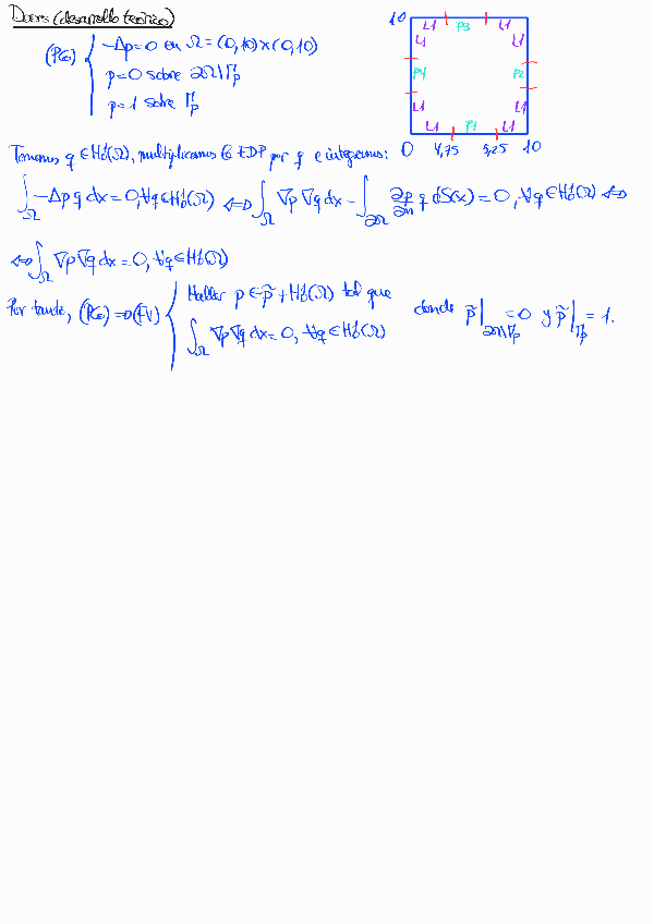
CoefElliptic-desarrollo-teorico.pdf
CoefElliptic.pdf
ControlCondFP.pdf
Doors-desarrollo-teorico.pdf

practicas

-

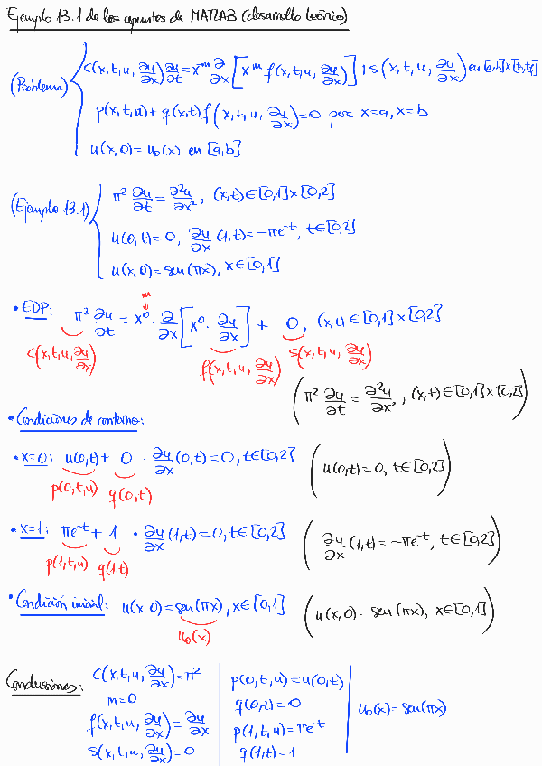
EJERCICIOS PARCIAL MATLAB 2023

He publicado nuevos practicas de 4º Complementos de Modelización y Optimización Numérica: EJERCICIOS PARCIAL MATLAB 2023

DibujoDeSuperficies1.pdf
DibujoDeSuperficies2.pdf
DibujoDeSuperficies3.pdf
DibujoDeSuperficies4.pdf
Ejemplo-13.1-de-los-apuntes-de-MATLAB-des.-teo..pdf
Ejemplo-13.1-de-los-apuntes-de-MATLAB.pdf