Portada
Asignatura
Grado en Química (UCM)
Estadística Aplicada y Cálculo Numérico
Fecha de subida
08 abr 2017
Categoría
apuntes
Información
Son unos resúmenes muy básicos, con las fórmulas y con ejercicios de clase resueltos al final de cada tema.
Etiquetas
Apuntes - EXAMEN-FINAL-2015-RESUELTO.pdf
pdf
6 páginas
696
3
Apuntes - 4. Variables aleatorias.pdf
16 páginas
264
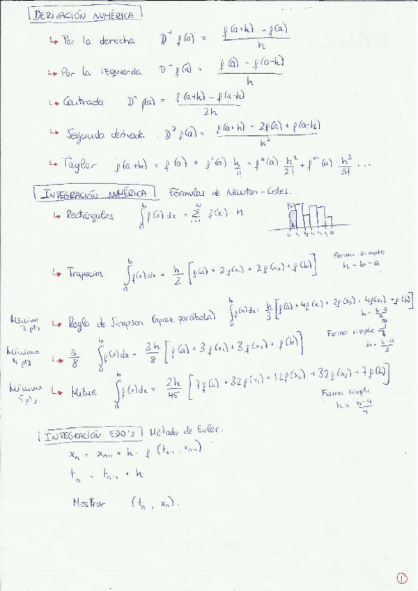
Apuntes - 1. Cálculo numérico.pdf
7 páginas
275
1
Apuntes - 2. Estadística descriptiva.pdf
8 páginas
236
Apuntes - 5. Inferencia estadística.pdf
5 páginas
260
2
Exámenes - exmane estadística final.pdf
10 páginas
382
4
Apuntes - 3. Combinatoria y Probabilidad.pdf
9 páginas
220
Exámenes - Examen-final-explicado-2023-24.pdf
14 páginas
267
30
Apuntes - 6. ANOVA.pdf
4 páginas
188
Ejercicios - Ejercicios - Variables aleatorias.pdf
178
0
Apuntes - FORMULARIO-COMPLETO-ESTADISTICA.pdf
251
Ejercicios - hojas 4 y 5 ejercicios resueltos.pdf
13 páginas
161
Exámenes - estadistica examne.pdf
1 página
261
Exámenes - Nuevo-doc-2020-02-02-14.pdf
11 páginas
248
Ejercicios - Ejercicios - Interferencia estadística.pdf
121
Ejercicios - tema 2.pdf
196
Exámenes - Primer control opción b.pdf
2 páginas
259
Exámenes - exmane parical estadíica 2017.pdf
3 páginas
247
Ejercicios - Ejercicios - Cálculo numérico.pdf
135
Apuntes - 1.pdf
141
Información
Son unos resúmenes muy básicos, con las fórmulas y con ejercicios de clase resueltos al final de cada tema.