Portada
Asignatura
Grado en Ingeniería Química Industrial (UEX)
Reactores químicos I
Fecha de subida
16 oct 2019
Categoría
ejercicios
Etiquetas
Exámenes - Problemas-de-examen.pdf
pdf
12 páginas
16
0
Otros - INTEGRALES-UTILES-EN-R.pdf
1 página
2
Apuntes - Tema-4.pdf
35 páginas
4
Ejercicios - Problemas-1-22.pdf
27 páginas
Ejercicios - Problemas-24-49.pdf
51 páginas
Ejercicios - Resumen-formulas.pdf
2 páginas
Apuntes - Tema-7.pdf
15 páginas
Apuntes - Tema-5.pdf
31 páginas
Ejercicios - Solucion-problema-48.pdf
1
Ejercicios - Relacion-de-problemas-RQ1.pdf
11 páginas
5
Apuntes - Resumen-Tema-1.pdf
8 páginas
Apuntes - Tema-1.pdf
3
Apuntes - Tema-2.pdf
13 páginas
Apuntes - Tema-6.pdf
30 páginas
Apuntes - Tema-3.pdf
18 páginas
Otros - graficoTema-7.pdf
Ejercicios - Ejercicios-de-entalpia.pdf
Ejercicios - Resumen-formulas-2.pdf
3 páginas
Ejercicios - Problemas-ejemplo-entalpias.pdf
29 páginas
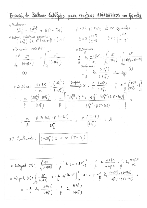
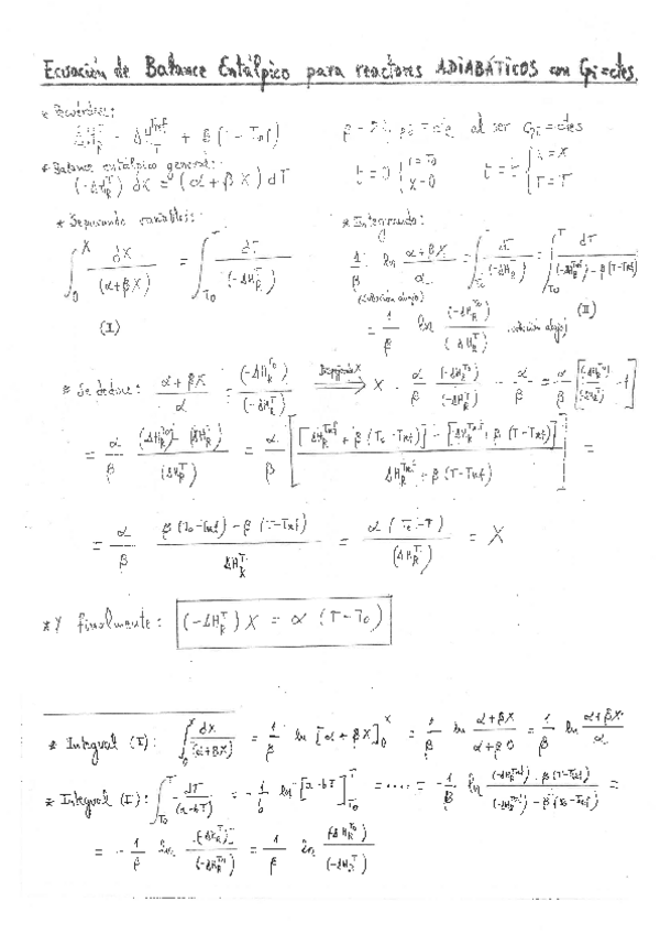
Otros - Balance-entalpico-para-reactores-Adiabaticos.pdf